Официальное опубликование правовых актов
ОФИЦИАЛЬНОЕ ОПУБЛИКОВАНИЕ
Постановление Кабинета Министров Республики Татарстан от 16.11.2023 № 1483
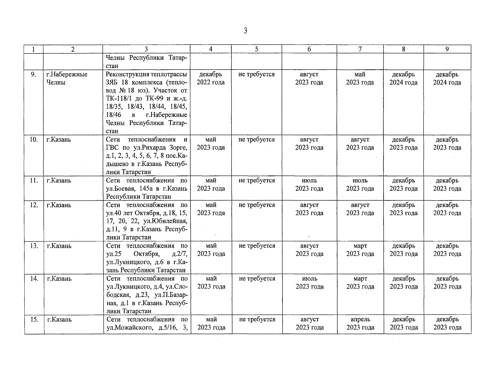
"О внесении изменений в Региональную программу по модернизации систем коммунальной инфраструктуры в Республике Татарстан на 2023 – 2027 годы, утвержденную постановлением Кабинета Министров Республики Татарстан от 24.05.2023 № 633 "Об утверждении Региональной программы по модернизации систем коммунальной инфраструктуры в Республике Татарстан на 2023 – 2027 годы"
Номер опубликования: 1600202311220002
Дата опубликования: 22.11.2023
Страница №37 из 46:
Увеличить