Официальное опубликование правовых актов
ОФИЦИАЛЬНОЕ ОПУБЛИКОВАНИЕ
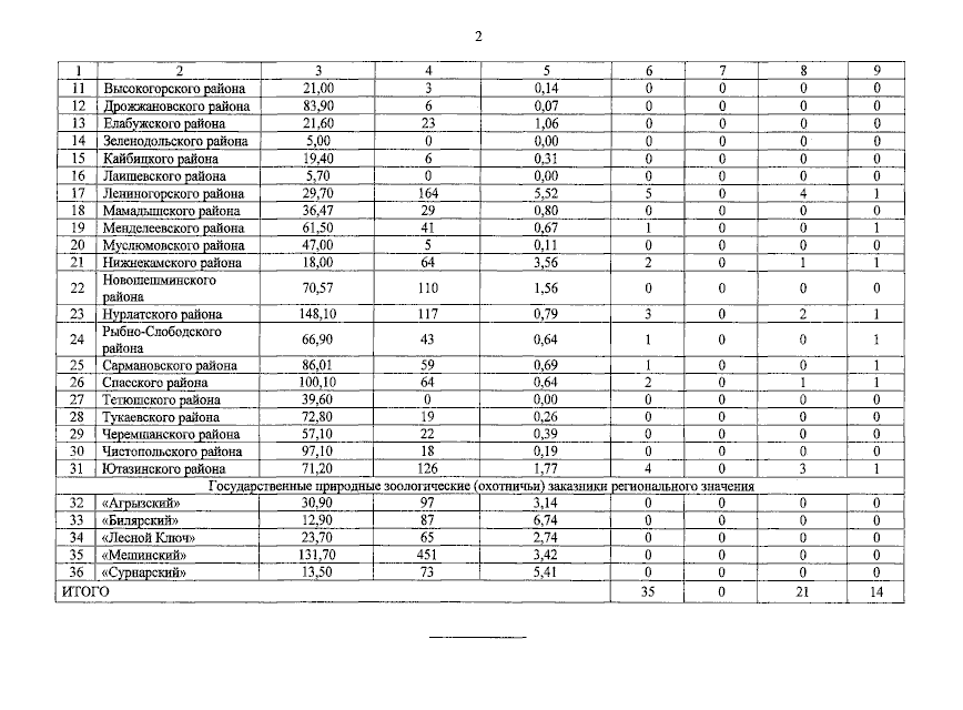
Указ Раиса Республики Татарстан от 26.07.2023 № 510
"Об утверждении лимита добычи охотничьих ресурсов на территории Республики Татарстан на период с 1 августа 2023 года до 1 августа 2024 года"
Номер опубликования: 1600202307310001
Дата опубликования: 31.07.2023
Страница №9 из 70:
Увеличить