Официальное опубликование правовых актов
ОФИЦИАЛЬНОЕ ОПУБЛИКОВАНИЕ
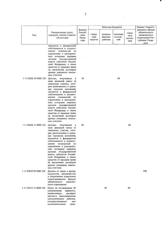
Закон Республики Татарстан от 27.11.2020 № 78-ЗРТ
"О бюджете Республики Татарстан на 2021 год и на плановый период 2022 и 2023 годов"
Номер опубликования: 1600202012020005
Дата опубликования: 02.12.2020
Страница №34 из 3004:
Увеличить