Официальное опубликование правовых актов
ОФИЦИАЛЬНОЕ ОПУБЛИКОВАНИЕ
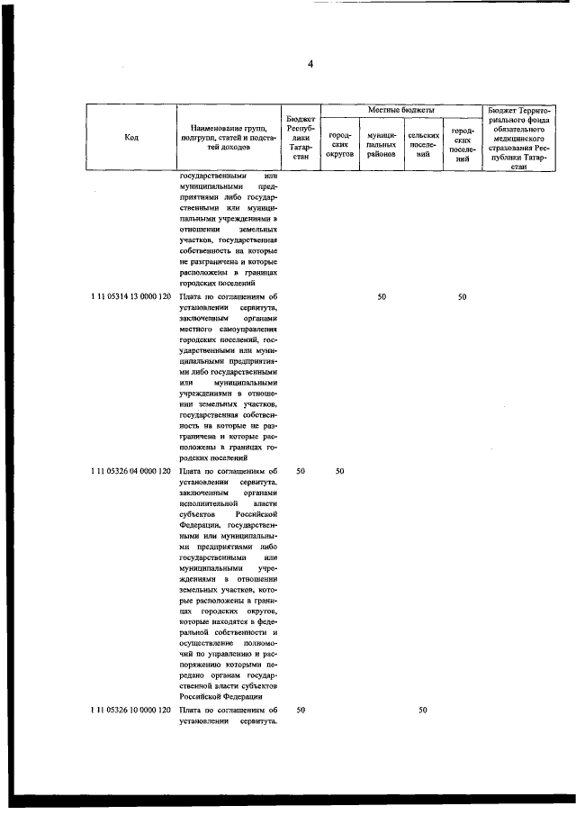
Закон Республики Татарстан от 21.11.2018 № 88-ЗРТ
"О бюджете Республики Татарстан на 2019 год и на плановый период 2020 и 2021 годов"
Номер опубликования: 1600201811270002
Дата опубликования: 27.11.2018
Страница №32 из 2567:
Увеличить