Официальное опубликование правовых актов
ОФИЦИАЛЬНОЕ ОПУБЛИКОВАНИЕ
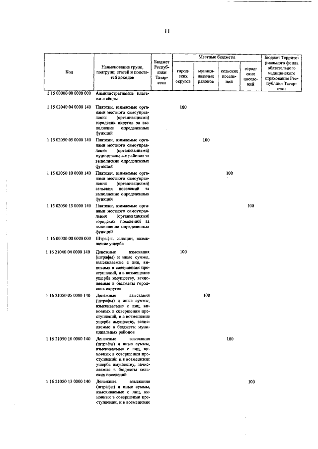
Закон Республики Татарстан от 30.11.2017 № 85-ЗРТ
"О бюджете Республики Татарстан на 2018 год и на плановый период 2019 и 2020 годов"
Номер опубликования: 1600201712050002
Дата опубликования: 05.12.2017
Страница №39 из 2393:
Увеличить