Закон Республики Татарстан от 22.09.2017 № 68-ЗРТ
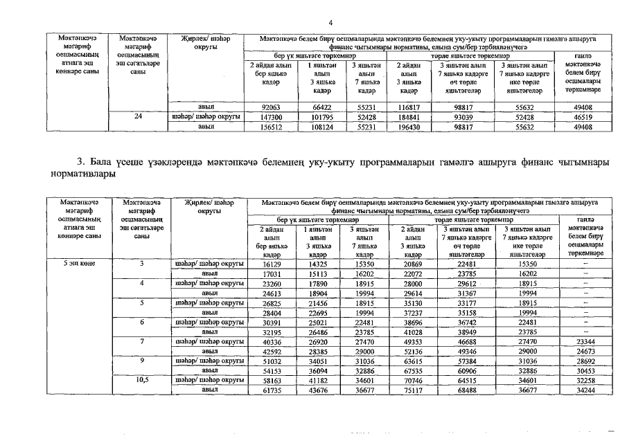
"Об утверждении нормативов финансового обеспечения государственных гарантий реализации прав на получение общедоступного и бесплатного дошкольного образования в муниципальных образовательных организациях в Республике Татарстан на 2018 год"
"Об утверждении нормативов финансового обеспечения государственных гарантий реализации прав на получение общедоступного и бесплатного дошкольного образования в муниципальных образовательных организациях в Республике Татарстан на 2018 год"
Номер опубликования: 1600201709270001
Дата опубликования:
27.09.2017
