Официальное опубликование правовых актов
ОФИЦИАЛЬНОЕ ОПУБЛИКОВАНИЕ
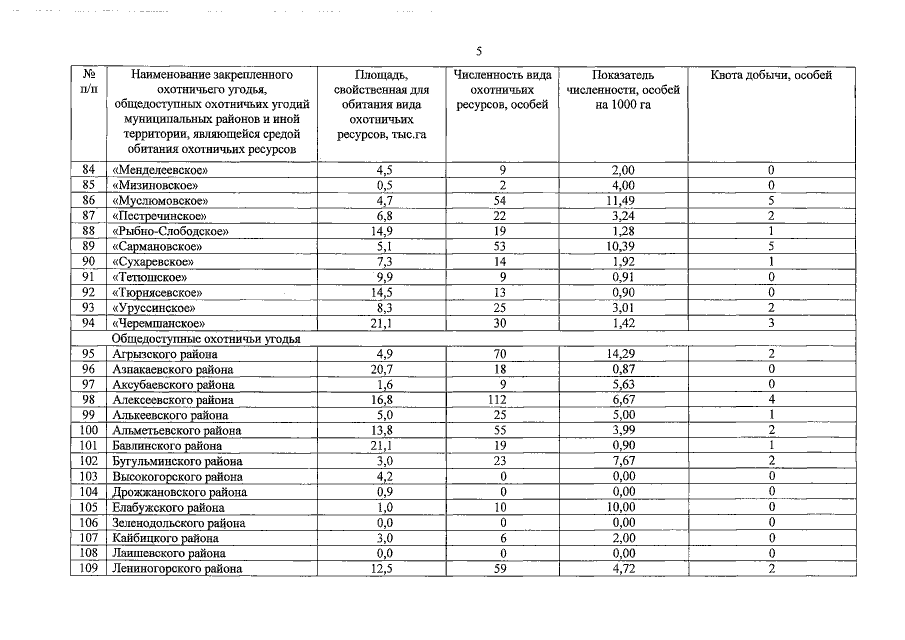
Распоряжение Президента Республики Татарстан от 20.07.2017 № 463
"Об утверждении лимита добычи охотничьих ресурсов на территории Республики Татарстан на период с 1 августа 2017 года до 1 августа 2018 года"
Номер опубликования: 1600201707240002
Дата опубликования: 24.07.2017
Страница №19 из 40:
Увеличить