Официальное опубликование правовых актов
ОФИЦИАЛЬНОЕ ОПУБЛИКОВАНИЕ
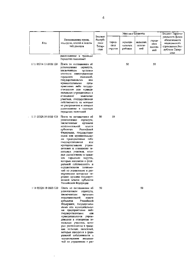
Закон Республики Татарстан от 28.11.2016 № 93-ЗРТ
"О бюджете Республики Татарстан на 2017 год и на плановый период 2018 и 2019 годов"
Номер опубликования: 1600201612010003
Дата опубликования: 01.12.2016
Страница №30 из 2288:
Увеличить