Официальное опубликование правовых актов
ОФИЦИАЛЬНОЕ ОПУБЛИКОВАНИЕ
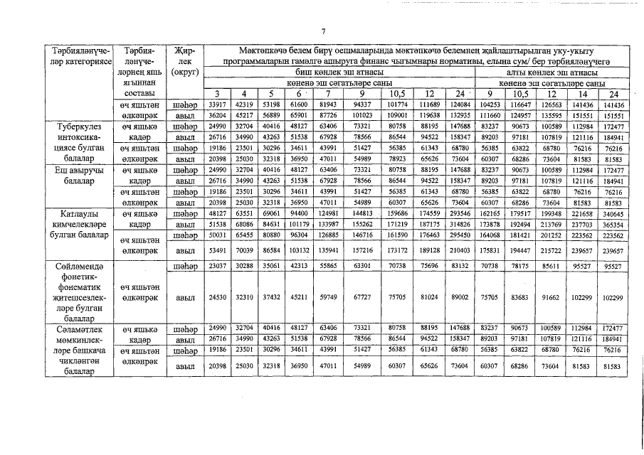
Закон Республики Татарстан от 29.09.2016 № 70-ЗРТ
"Об утверждении нормативов финансового обеспечения государственных гарантий реализации прав на получение общедоступного и бесплатного дошкольного образования в муниципальных дошкольных образовательных организациях в Республике Татарстан на 2017 год"
Номер опубликования: 1600201610040001
Дата опубликования: 04.10.2016
Страница №16 из 17:
Увеличить