Официальное опубликование правовых актов
ОФИЦИАЛЬНОЕ ОПУБЛИКОВАНИЕ
Закон Республики Татарстан от 17.10.2015 № 86-ЗРТ
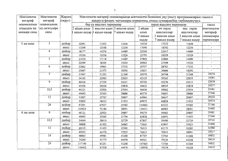
"Об утверждении нормативов финансового обеспечения государственных гарантий реализации прав на получение общедоступного и бесплатного дошкольного образования в муниципальных дошкольных образовательных организациях в Республике Татарстан на 2016 год"
Номер опубликования: 1600201510210001
Дата опубликования: 21.10.2015
Страница №12 из 17:
Увеличить