Официальное опубликование правовых актов
ОФИЦИАЛЬНОЕ ОПУБЛИКОВАНИЕ
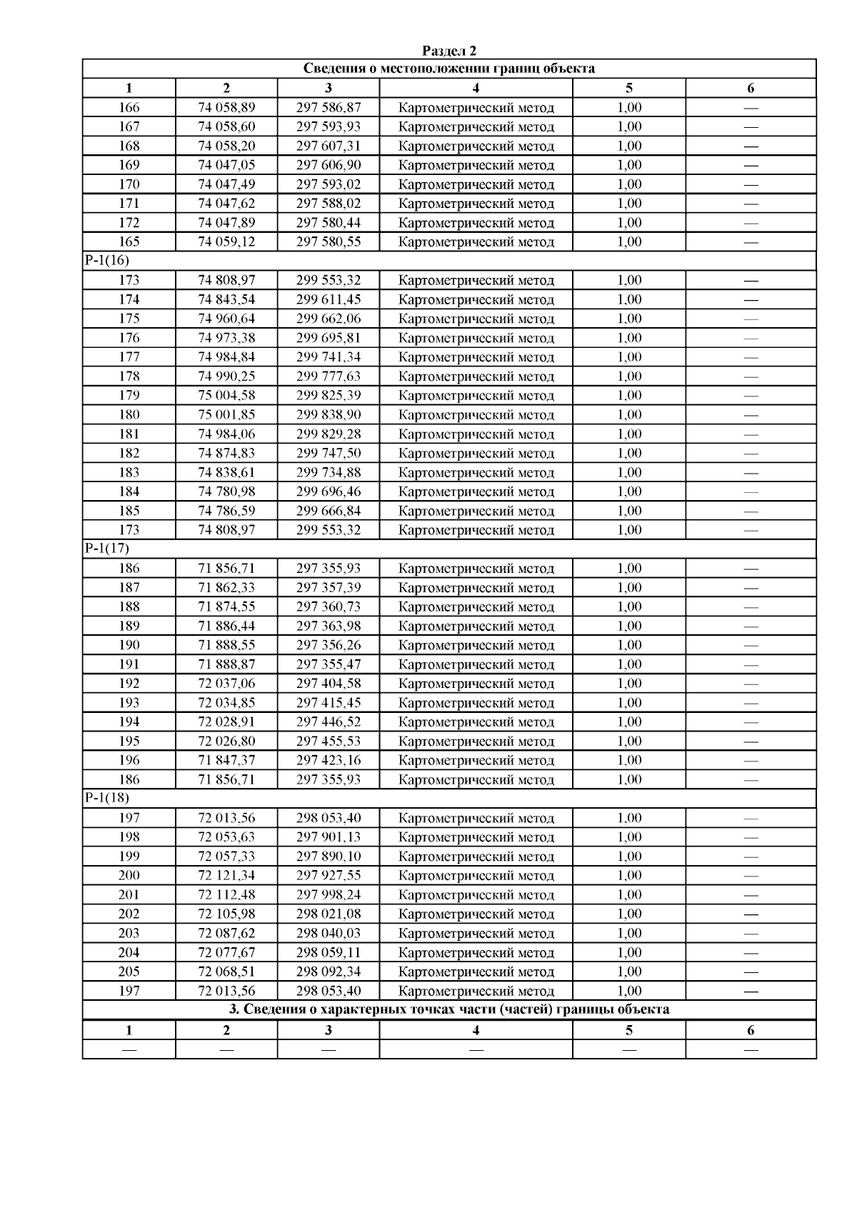
Приказ Министерства строительства и архитектуры Республики Северная Осетия-Алания от 29.12.2025 № 113
"Об утверждении правил землепользования и застройки Дигорского городского поселения Дигорского муниципального района Республики Северная Осетия—Алания"
(Зарегистрирован 30.12.2025 № 0309-25-1)
Номер опубликования: 1501202512300009
Дата опубликования: 30.12.2025
Страница №202 из 242:
Увеличить