Официальное опубликование правовых актов
ОФИЦИАЛЬНОЕ ОПУБЛИКОВАНИЕ
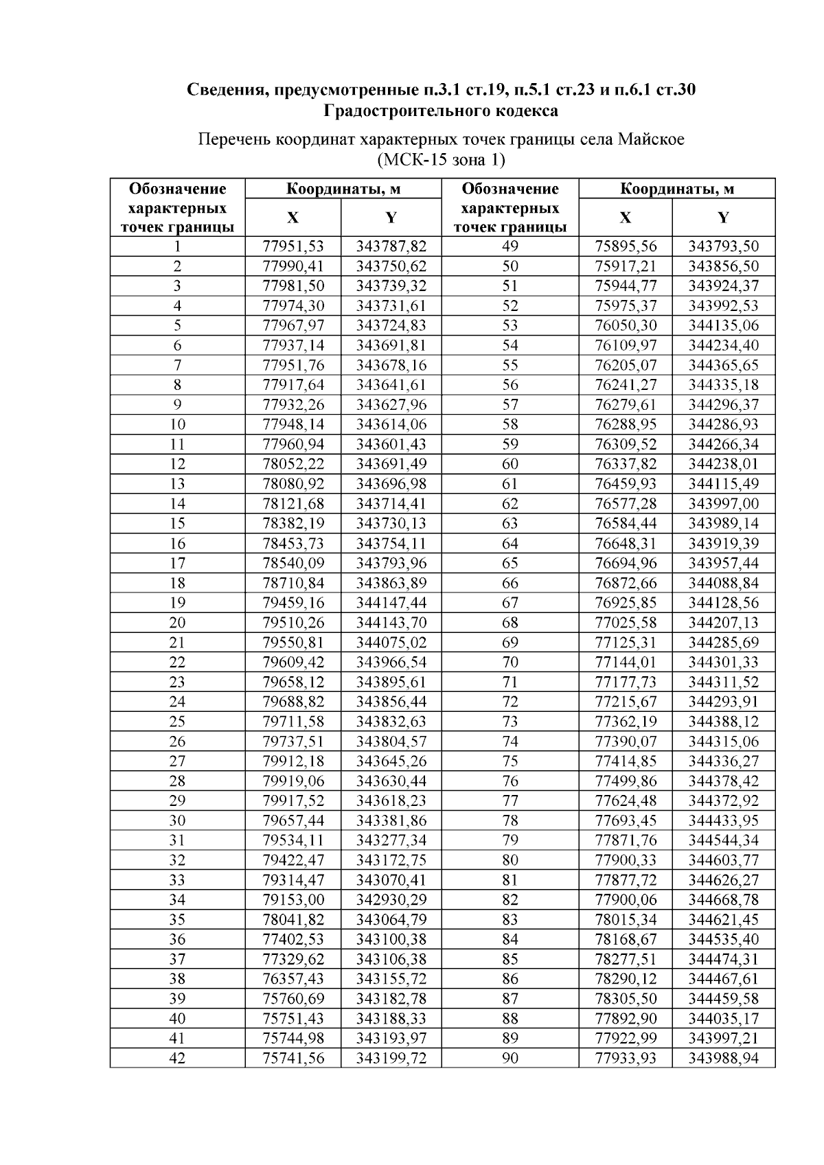
Приказ Министерства строительства и архитектуры Республики Северная Осетия-Алания от 11.12.2025 № 95
"Об утверждении генерального плана Майского сельского поселения Пригородного района Республики Северная Осетия - Алания"
(Зарегистрирован 15.12.2025 № 0264-25-1)
Номер опубликования: 1501202512190003
Дата опубликования: 19.12.2025
Страница №323 из 333:
Увеличить