Официальное опубликование правовых актов
ОФИЦИАЛЬНОЕ ОПУБЛИКОВАНИЕ
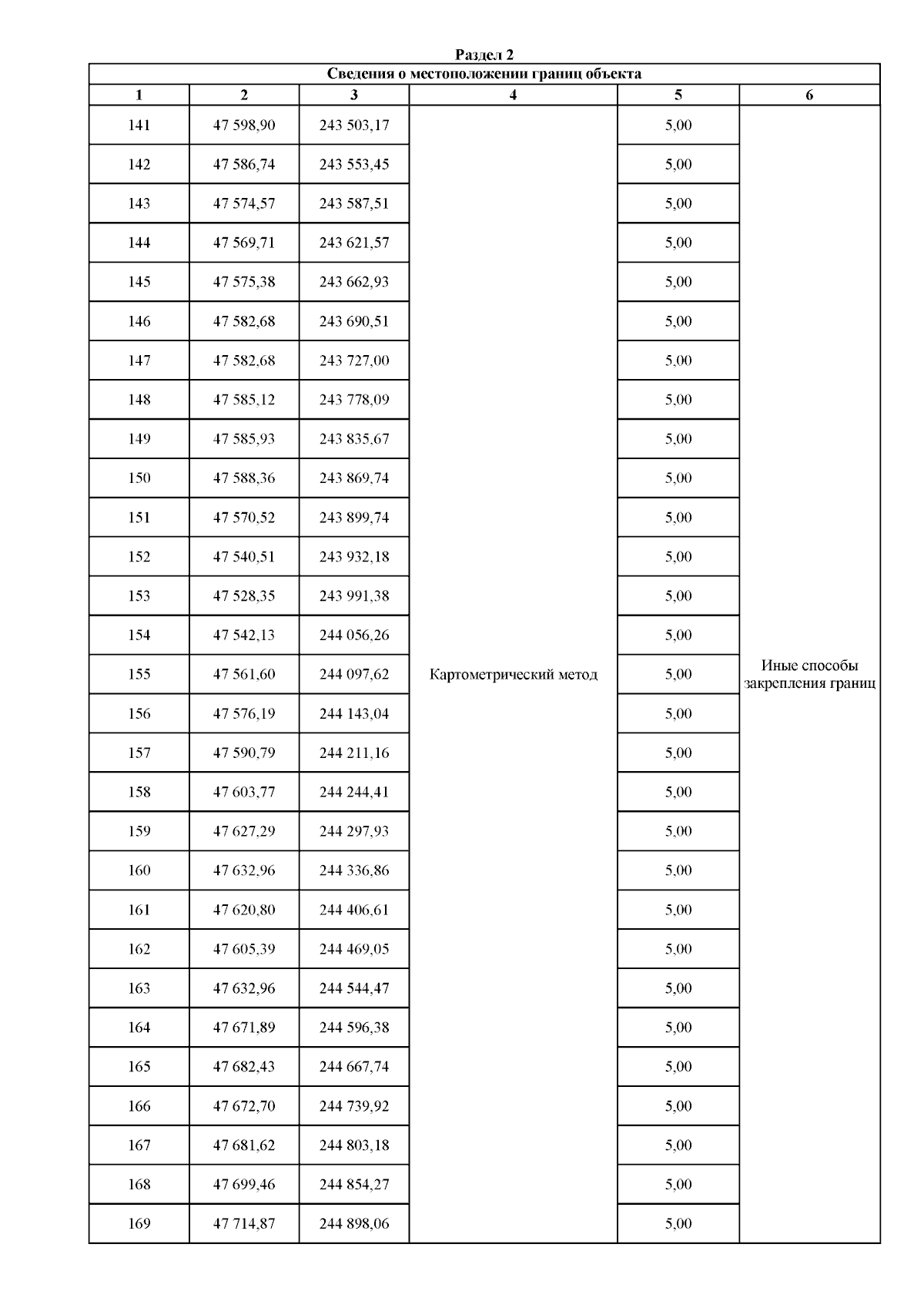
Приказ Министерства природных ресурсов и экологии Республики Северная Осетия-Алания от 12.11.2025 № 388
"Об утверждении местоположения береговой линии (границы водного объекта)"
(Зарегистрирован 13.11.2025 № 0206-25-1)
Номер опубликования: 1501202511140003
Дата опубликования: 14.11.2025
Страница №7 из 179:
Увеличить