Официальное опубликование правовых актов
ОФИЦИАЛЬНОЕ ОПУБЛИКОВАНИЕ
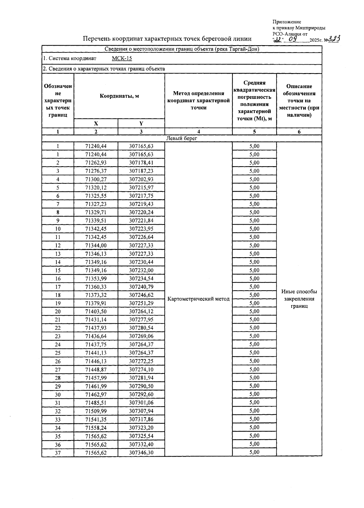
Приказ Министерства природных ресурсов и экологии Республики Северная Осетия-Алания от 22.09.2025 № 323
"Об утверждении местоположения береговой линии (границы водного объекта)"
(Зарегистрирован 24.09.2025 № 0169-25-1)
Номер опубликования: 1501202509290002
Дата опубликования: 29.09.2025
Страница №2 из 5:
Увеличить