Официальное опубликование правовых актов
ОФИЦИАЛЬНОЕ ОПУБЛИКОВАНИЕ
Приказ Министерства строительства и архитектуры Республики Северная Осетия-Алания от 11.09.2025 № 56
"Об утверждении генерального плана Бесланского городского поселения Правобережного района Республики Северная Осетия-Алания"
(Зарегистрирован 15.09.2025 № 0167-25-1)
Номер опубликования: 1501202509180002
Дата опубликования: 18.09.2025
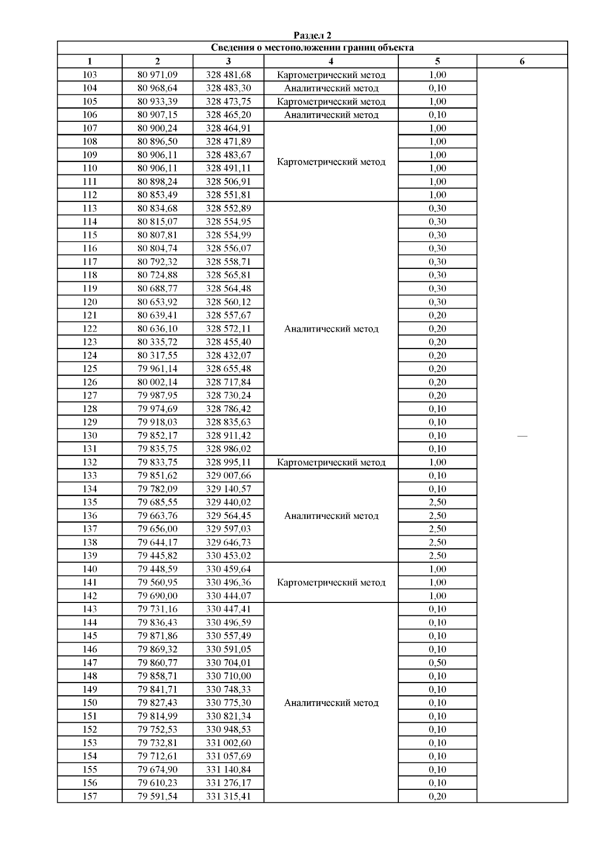
Страница №126 из 147:
Увеличить