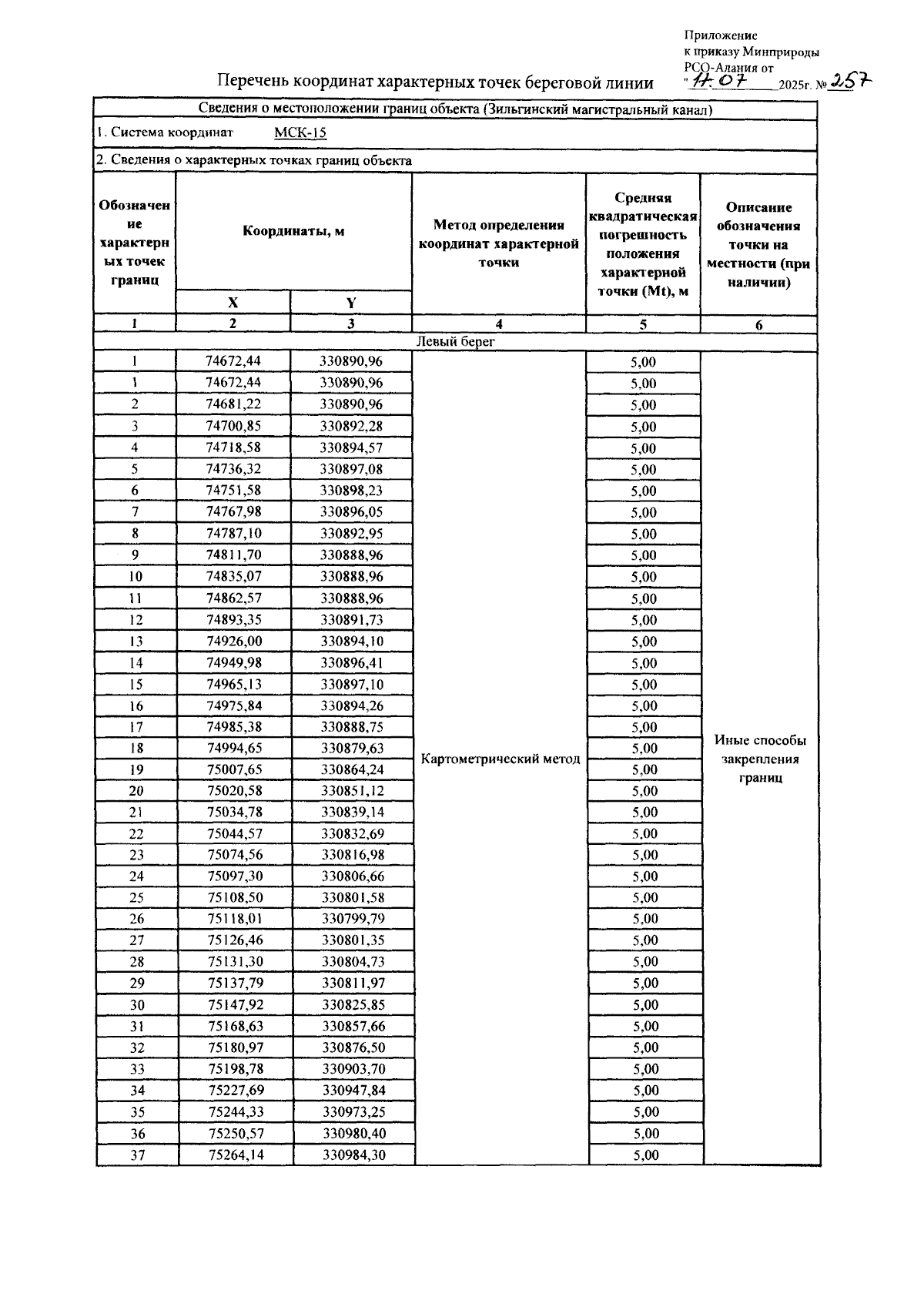
Приказ Министерства природных ресурсов и экологии Республики Северная Осетия-Алания от 17.07.2025 № 257
"Об утверждении местоположения береговой линии (границы водного объекта)"
(Зарегистрирован 18.07.2025 № 0131-25-1)
"Об утверждении местоположения береговой линии (границы водного объекта)"
(Зарегистрирован 18.07.2025 № 0131-25-1)
Номер опубликования: 1501202507220003
Дата опубликования:
22.07.2025
