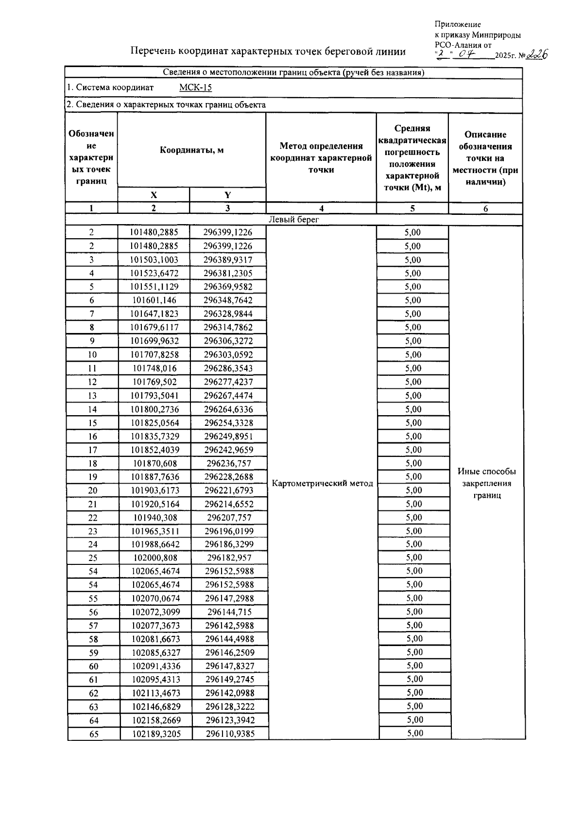
Приказ Министерства природных ресурсов и экологии Республики Северная Осетия-Алания от 03.07.2025 № 226
"Об утверждении местоположения береговой линии (границы водного объекта)"
(Зарегистрирован 04.07.2025 № 0114-25-1)
"Об утверждении местоположения береговой линии (границы водного объекта)"
(Зарегистрирован 04.07.2025 № 0114-25-1)
Номер опубликования: 1501202507090008
Дата опубликования:
09.07.2025
