Официальное опубликование правовых актов
ОФИЦИАЛЬНОЕ ОПУБЛИКОВАНИЕ
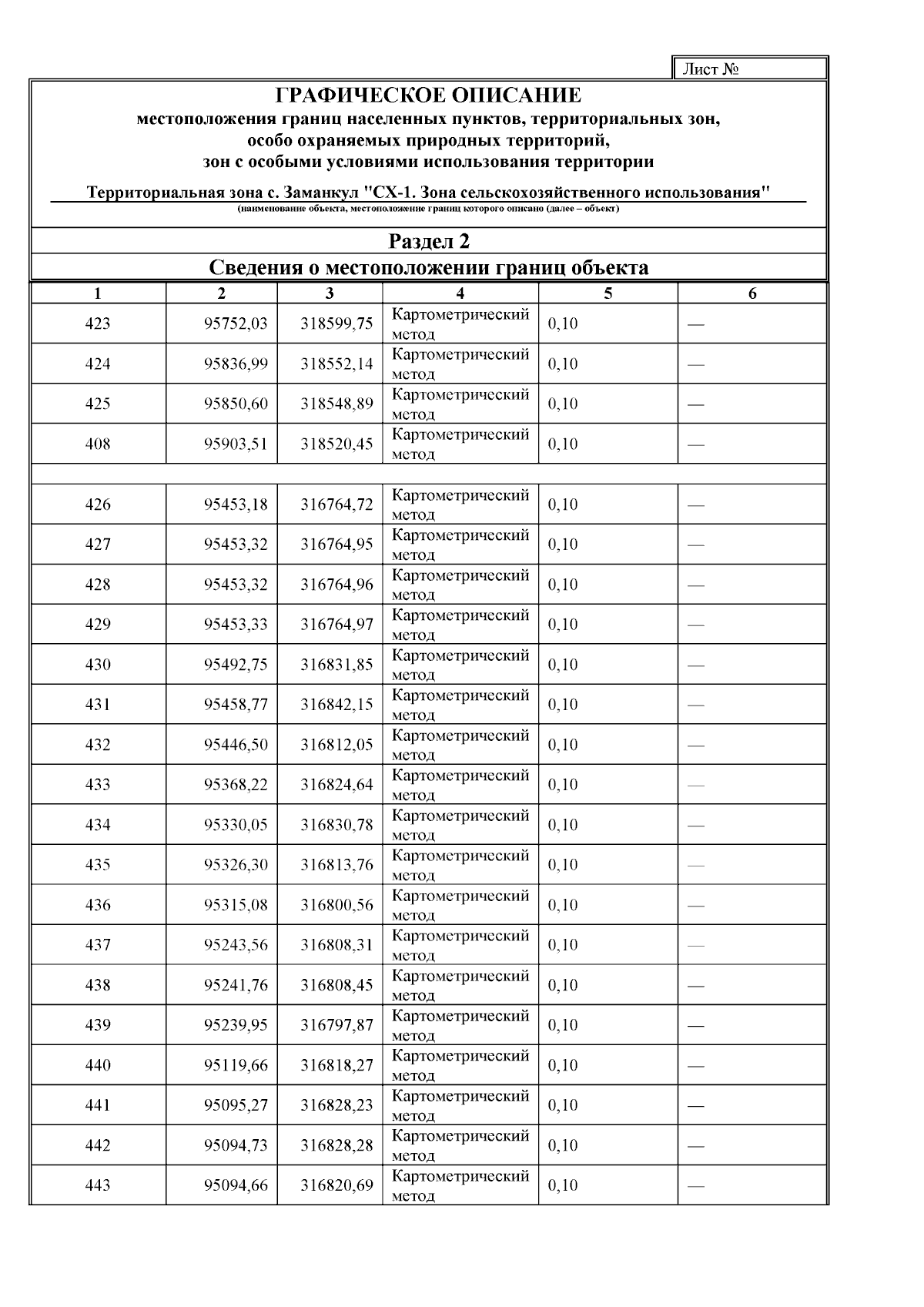
Приказ Министерства строительства и архитектуры Республики Северная Осетия-Алания от 10.06.2025 № 42
"Об утверждении Правил землепользования и застройки Заманкульского сельского поселения Правобережного муниципального района Республики Северная Осетия - Алания"
(Зарегистрирован 11.06.2025 № 0106-25-1)
Номер опубликования: 1501202506170002
Дата опубликования: 17.06.2025
Страница №447 из 471:
Увеличить