Официальное опубликование правовых актов
ОФИЦИАЛЬНОЕ ОПУБЛИКОВАНИЕ
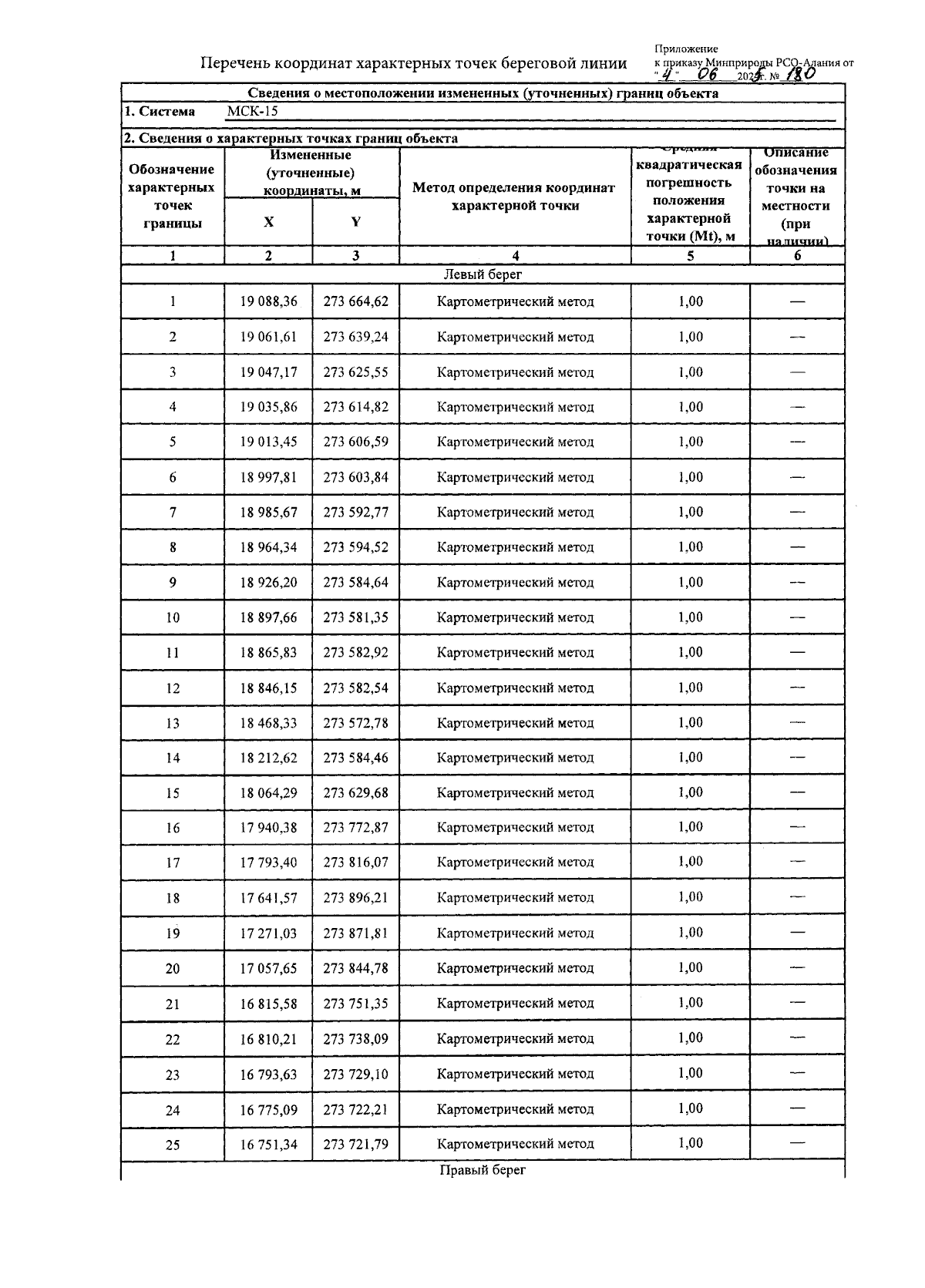
Приказ Министерства природных ресурсов и экологии Республики Северная Осетия-Алания от 04.06.2025 № 180
"Об уточнении местоположения береговой линии (границы водного объекта)"
(Зарегистрирован 05.06.2025 № 0103-25-1)
Номер опубликования: 1501202506100003
Дата опубликования: 10.06.2025
Страница №2 из 4:
Увеличить