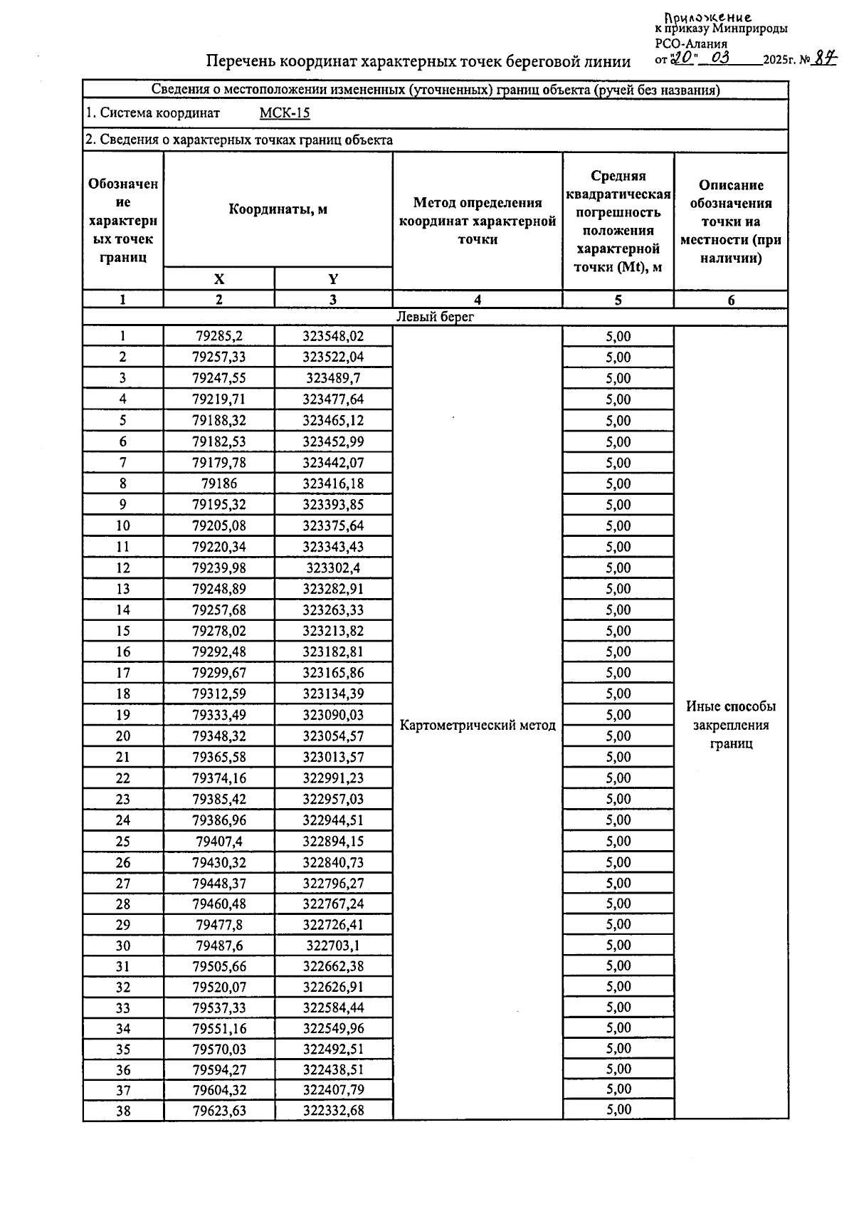
Приказ Министерства природных ресурсов и экологии Республики Северная Осетия-Алания от 20.03.2025 № 87
"Об уточнении местоположения береговой линии (границы водного объекта)"
(Зарегистрирован 24.03.2025 № 0064-25-1)
"Об уточнении местоположения береговой линии (границы водного объекта)"
(Зарегистрирован 24.03.2025 № 0064-25-1)
Номер опубликования: 1501202503250001
Дата опубликования:
25.03.2025
