Официальное опубликование правовых актов
ОФИЦИАЛЬНОЕ ОПУБЛИКОВАНИЕ
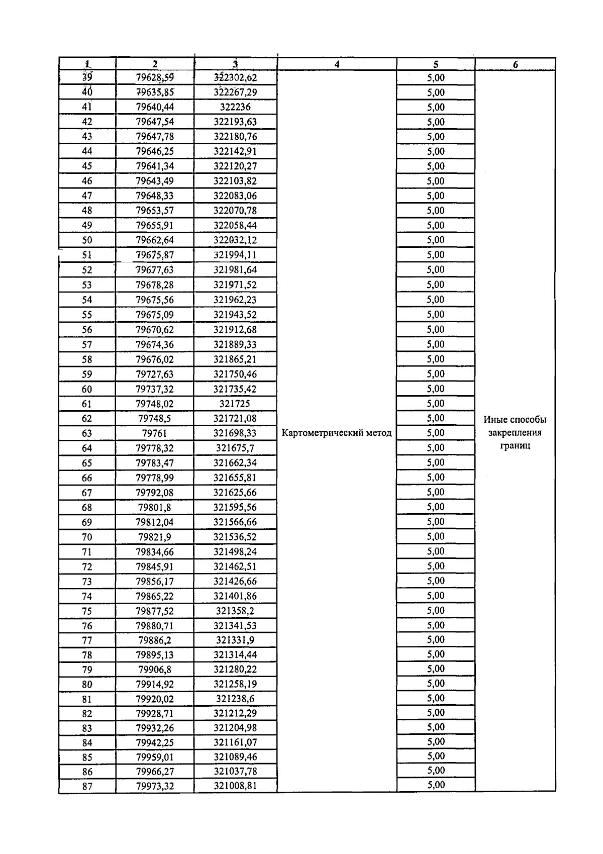
Приказ Министерства природных ресурсов и экологии Республики Северная Осетия-Алания от 27.02.2025 № 72
"Об утверждении местоположения береговой линии (границы водного объекта)"
(Зарегистрирован 27.02.2025 № 0050-25-1)
Номер опубликования: 1501202503030003
Дата опубликования: 03.03.2025
Страница №6 из 28:
Увеличить