Официальное опубликование правовых актов
ОФИЦИАЛЬНОЕ ОПУБЛИКОВАНИЕ
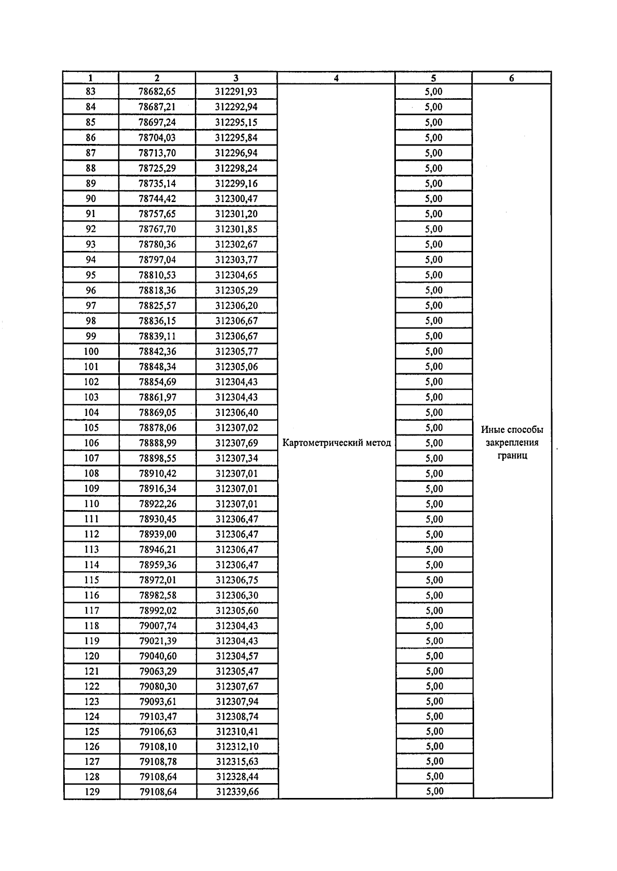
Приказ Министерства природных ресурсов и экологии Республики Северная Осетия-Алания от 18.12.2024 № 442
"Об утверждении местоположения береговой линии (границы водного объекта)"
(Зарегистрирован 18.12.2024 № 0371-24-1)
Номер опубликования: 1501202412190004
Дата опубликования: 19.12.2024
Страница №6 из 22:
Увеличить