Официальное опубликование правовых актов
ОФИЦИАЛЬНОЕ ОПУБЛИКОВАНИЕ
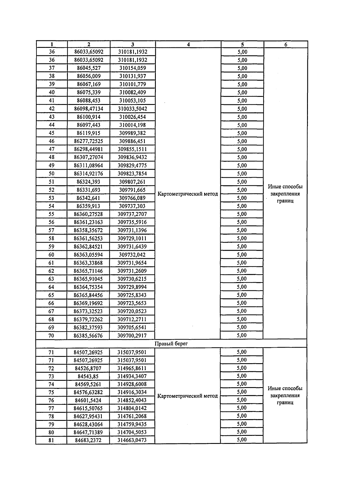
Приказ Министерства природных ресурсов и экологии Республики Северная Осетия-Алания от 16.12.2024 № 440
"Об утверждении местоположения береговой линии (границы водного объекта)"
(Зарегистрирован 17.12.2024 № 0369-24-1)
Номер опубликования: 1501202412190002
Дата опубликования: 19.12.2024
Страница №5 из 31:
Увеличить