Официальное опубликование правовых актов
ОФИЦИАЛЬНОЕ ОПУБЛИКОВАНИЕ
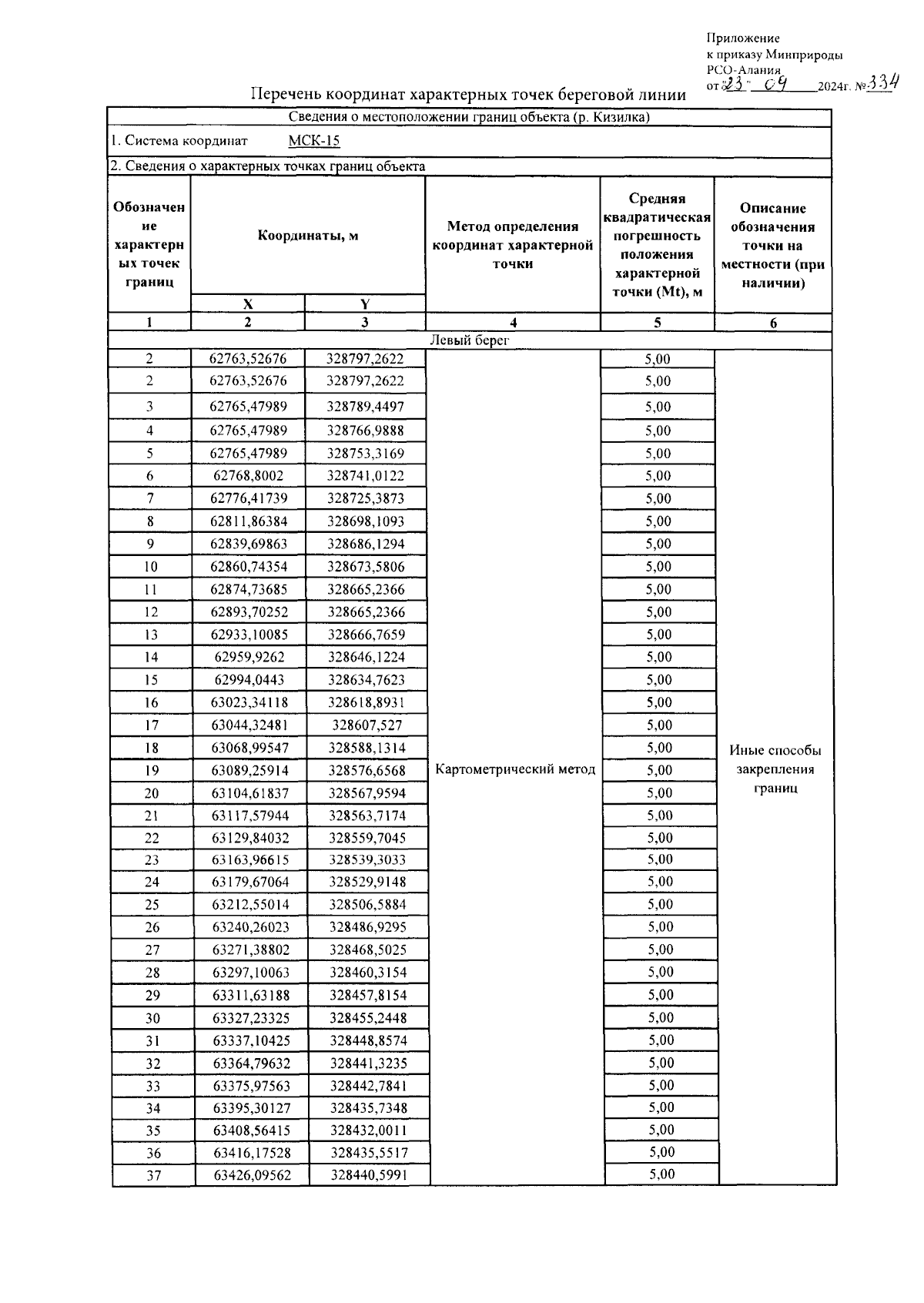
Приказ Министерства природных ресурсов и экологии Республики Северная Осетия-Алания от 23.09.2024 № 334
"Об утверждении местоположения береговой линии (границы водного объекта)"
(Зарегистрирован 25.09.2024 № 0268-24-1)
Номер опубликования: 1501202409300020
Дата опубликования: 30.09.2024
Страница №2 из 4:
Увеличить