Официальное опубликование правовых актов
ОФИЦИАЛЬНОЕ ОПУБЛИКОВАНИЕ
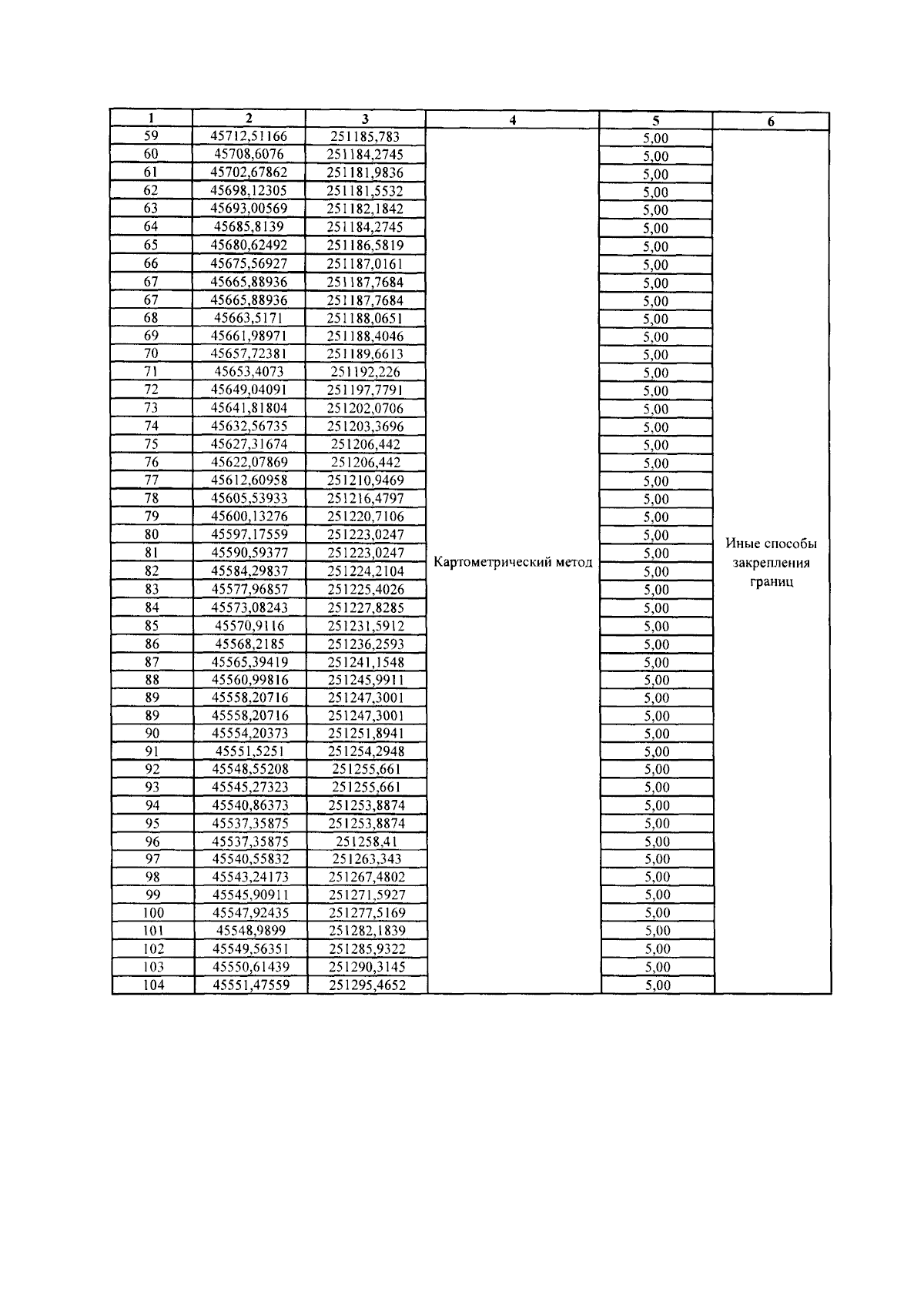
Приказ Министерства природных ресурсов и экологии Республики Северная Осетия-Алания от 23.09.2024 № 335
"Об утверждении местоположения береговой линии (границы водного объекта)"
(Зарегистрирован 25.09.2024 № 0269-24-1)
Номер опубликования: 1501202409300003
Дата опубликования: 30.09.2024
Страница №6 из 6:
Увеличить