Официальное опубликование правовых актов
ОФИЦИАЛЬНОЕ ОПУБЛИКОВАНИЕ
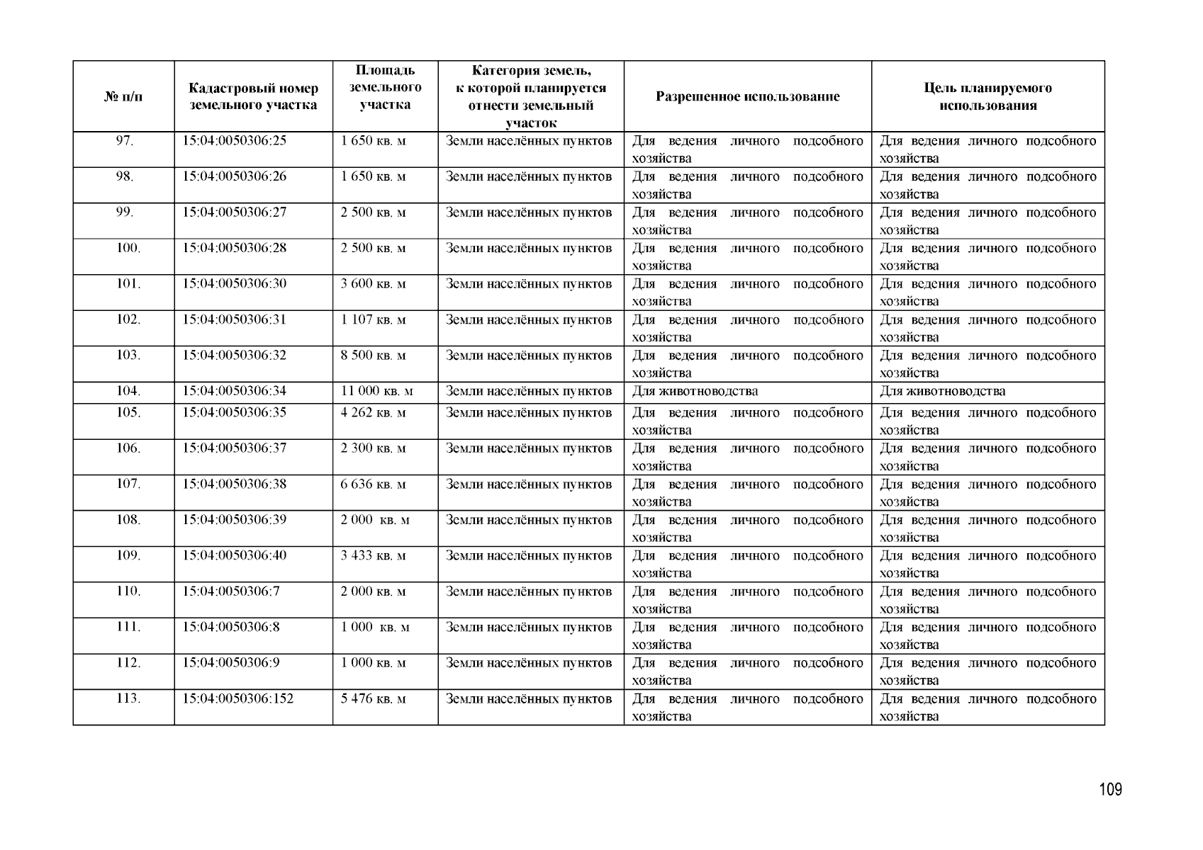
Приказ Министерства строительства и архитектуры Республики Северная Осетия-Алания от 04.04.2024 № 19
"Об утверждении генерального плана Галиатского сельского поселения Ирафского района Республики Северная Осетия - Алания"
(Зарегистрирован 08.04.2024 № 0089-24-1)
Номер опубликования: 1501202404120001
Дата опубликования: 12.04.2024
Страница №118 из 137:
Увеличить