Официальное опубликование правовых актов
ОФИЦИАЛЬНОЕ ОПУБЛИКОВАНИЕ
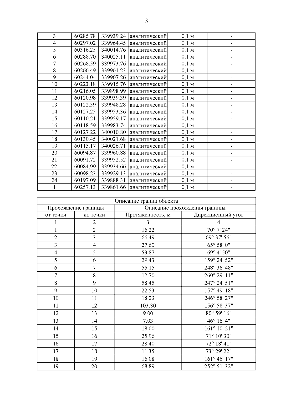
Постановление Правительства Республики Северная Осетия - Алания от 16.12.2025 № 489
"Об утверждении зон охраны объекта культурного наследия регионального значения "Комплекс зданий "Анонимного общества Владикавказских электрических трамваев и освещения". Литеры А, Л, Н, М. 1903 г.", расположенного по адресу: Республика Северная Осетия-Алания, г. Владикавказ, ул. Пашковского, 2, и требований к градостроительным регламентам в границах территории данных зон"
Номер опубликования: 1500202512190012
Дата опубликования: 19.12.2025
Страница №5 из 12:
Увеличить