Официальное опубликование правовых актов
ОФИЦИАЛЬНОЕ ОПУБЛИКОВАНИЕ
Постановление Правительства Республики Северная Осетия - Алания от 26.08.2025 № 295
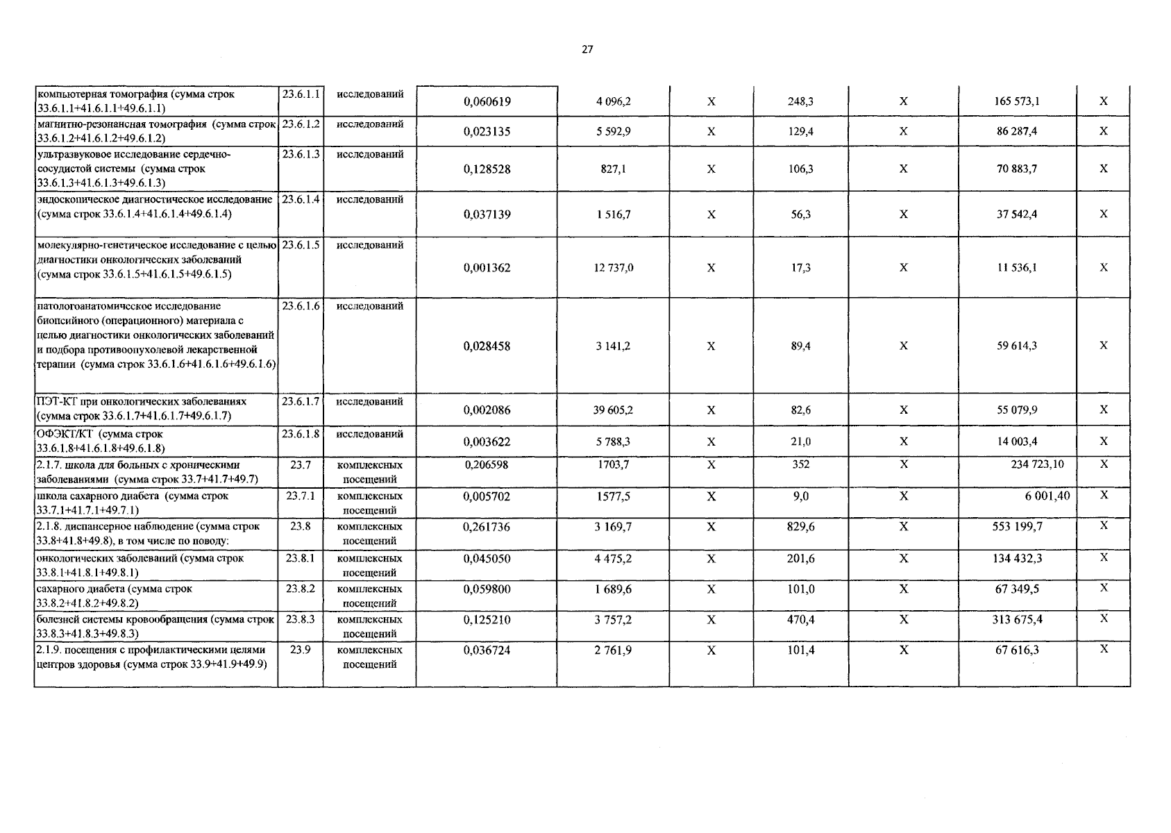
"О внесении изменений в постановление Правительства Республики Северная Осетия-Алания от 23 декабря 2024 г. №9 557 "О Территориальной программе государственных гарантий бесплатного оказания гражданам медицинской помощи на территории Республики Северная Осетия—Алания на 2025 год и на плановый период 2026 и 2027 годов"
Номер опубликования: 1500202509040004
Дата опубликования: 04.09.2025
Страница №28 из 51:
Увеличить