Официальное опубликование правовых актов
ОФИЦИАЛЬНОЕ ОПУБЛИКОВАНИЕ
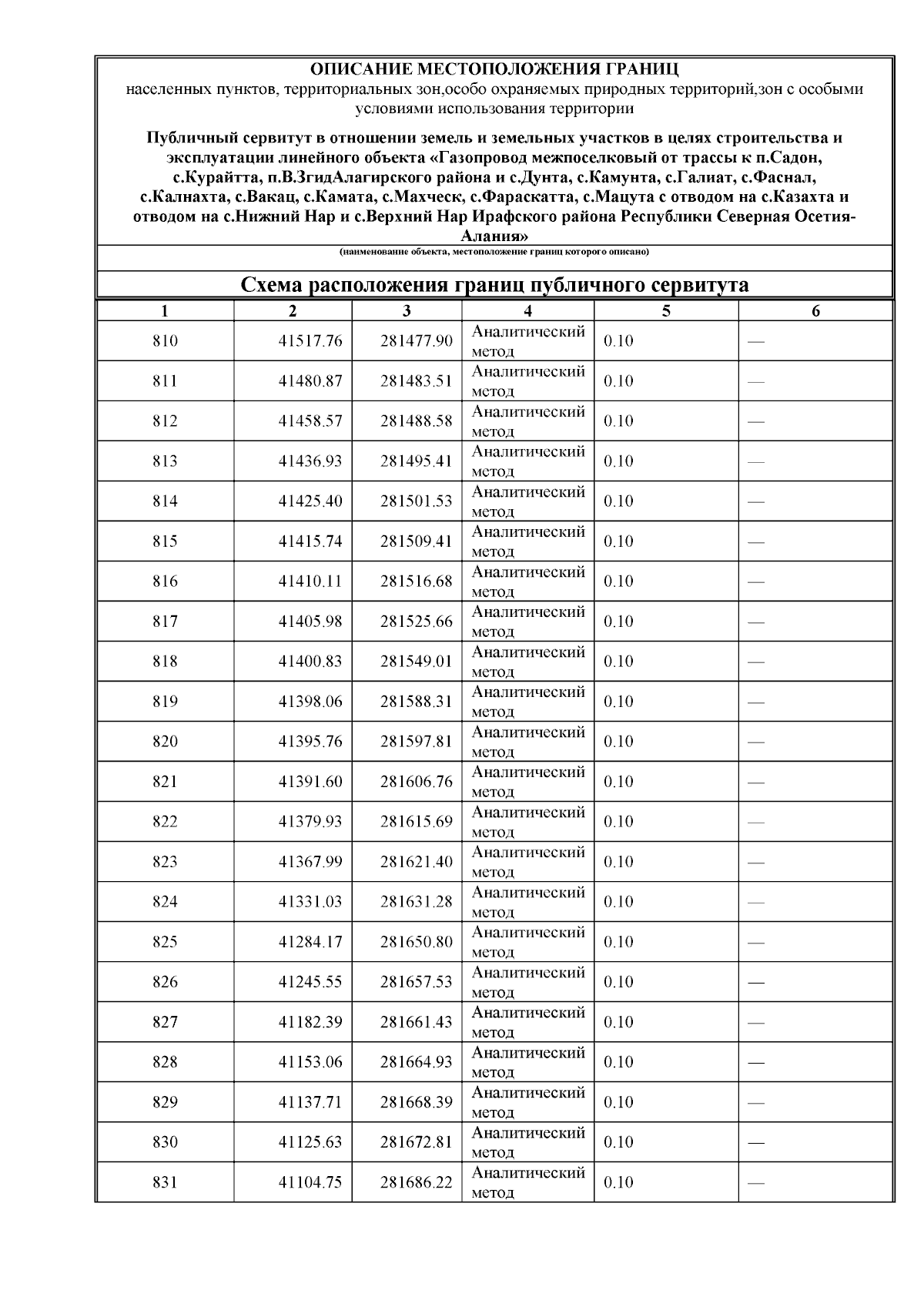
Постановление Правительства Республики Северная Осетия - Алания от 26.08.2025 № 294
"Об установлении публичного сервитута"
Номер опубликования: 1500202509020003
Дата опубликования: 02.09.2025
Страница №44 из 276:
Увеличить