Официальное опубликование правовых актов
ОФИЦИАЛЬНОЕ ОПУБЛИКОВАНИЕ
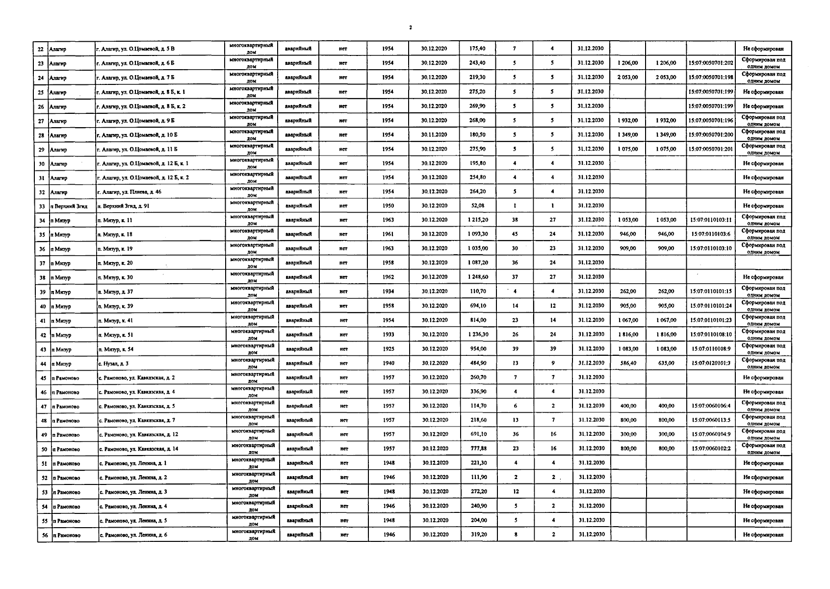
Постановление Правительства Республики Северная Осетия - Алания от 26.08.2025 № 311
"Об утверждении республиканской адресной программы "Переселение граждан из аварийного жилищного фонда на территории Республики Северная Осетия-Алания" на 2025-2030 годы"
Номер опубликования: 1500202509010009
Дата опубликования: 01.09.2025
Страница №27 из 36:
Увеличить