Официальное опубликование правовых актов
ОФИЦИАЛЬНОЕ ОПУБЛИКОВАНИЕ
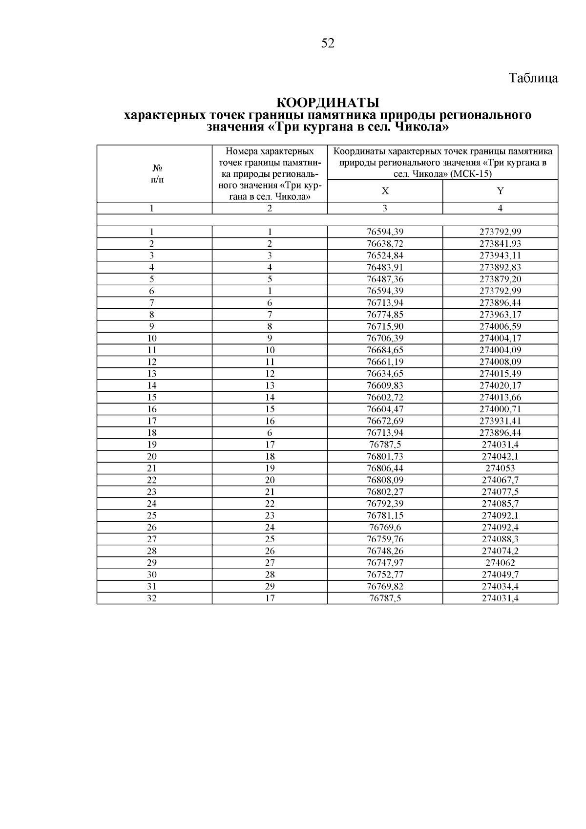
Постановление Правительства Республики Северная Осетия - Алания от 26.08.2025 № 293
"Об утверждении границ памятников природы регионального значения, расположенных на территории Республики Северная Осетия-Алания"
Номер опубликования: 1500202509010006
Дата опубликования: 01.09.2025
Страница №54 из 91:
Увеличить