Официальное опубликование правовых актов
ОФИЦИАЛЬНОЕ ОПУБЛИКОВАНИЕ
Постановление Правительства Республики Северная Осетия - Алания от 25.07.2025 № 262
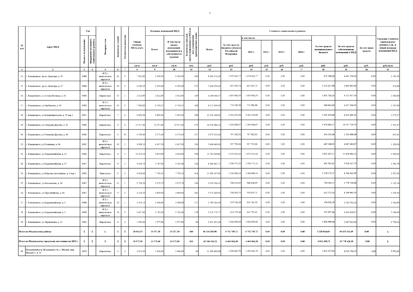
"О внесении изменений в постановление Правительства Республики Северная Осетия-Алания от 28 декабря 2022 года № 591 "О краткосрочной республиканской программе "Капитальный ремонт общего имущества в многоквартирных домах" на 2023 - 2025 годы"
Номер опубликования: 1500202507310005
Дата опубликования: 31.07.2025
Страница №5 из 11:
Увеличить