Официальное опубликование правовых актов
ОФИЦИАЛЬНОЕ ОПУБЛИКОВАНИЕ
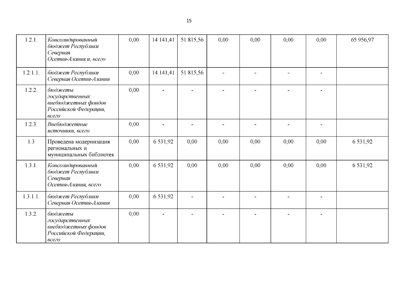
Постановление Правительства Республики Северная Осетия - Алания от 22.04.2025 № 141
"О внесении изменений в постановление Правительства Республики Северная Осетия-Алания от 28 октября 2013 года № 388 "О Государственной программе Республики Северная Осетия-Алания "Развитие культуры Республики Северная Осетия-Алания"
Номер опубликования: 1500202504220021
Дата опубликования: 22.04.2025
Страница №16 из 105:
Увеличить