Официальное опубликование правовых актов
ОФИЦИАЛЬНОЕ ОПУБЛИКОВАНИЕ
Постановление Правительства Республики Северная Осетия - Алания от 15.04.2025 № 128
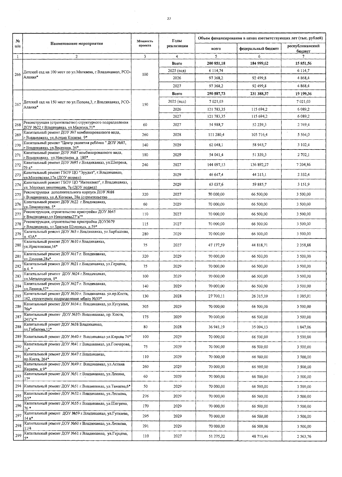
"О внесении изменения в постановление Правительства Республики Северная Осетия-Алания от 23 апреля 2024 г. № 186 "Об утверждении комплексной республиканской программы Республики Северная Осетия - Алания "Строительство"
Номер опубликования: 1500202504220016
Дата опубликования: 22.04.2025
Страница №28 из 49:
Увеличить