Официальное опубликование правовых актов
ОФИЦИАЛЬНОЕ ОПУБЛИКОВАНИЕ
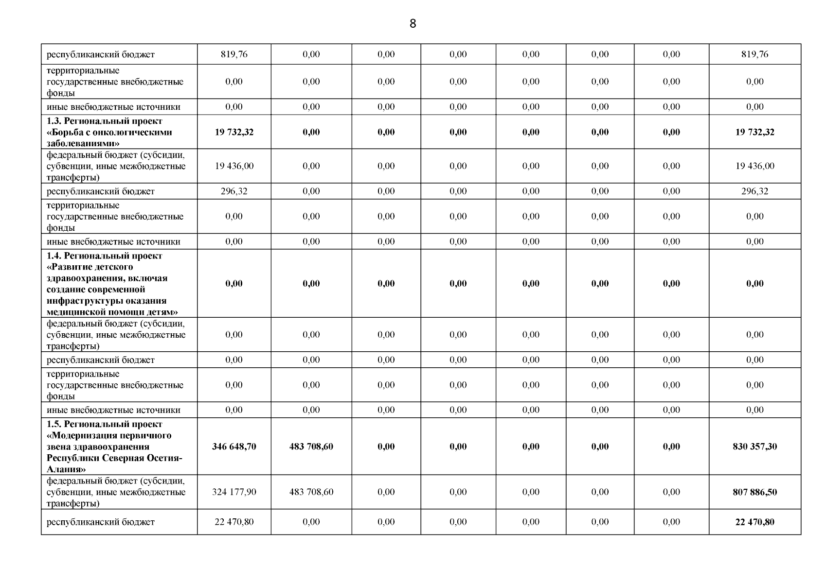
Постановление Правительства Республики Северная Осетия - Алания от 27.12.2024 № 586
"О внесении изменений в постановление Правительства Республики Северная Осетия-Алания от 10 декабря 2019 года № 409 "Об утверждении государственной программы Республики Северная Осетия-Алания "Развитие здравоохранения Республики Северная Осетия-Алания" на 2019-2024 годы"
Номер опубликования: 1500202412270010
Дата опубликования: 27.12.2024
Страница №9 из 51:
Увеличить