Официальное опубликование правовых актов
ОФИЦИАЛЬНОЕ ОПУБЛИКОВАНИЕ
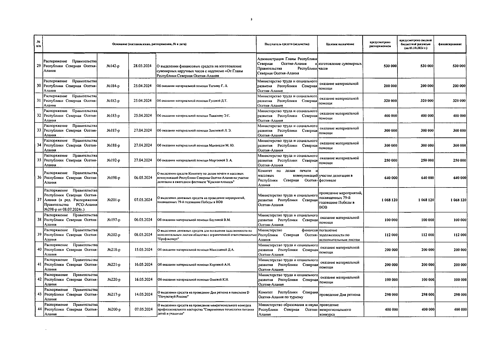
Постановление Правительства Республики Северная Осетия - Алания от 29.10.2024 № 464
"Об отчете об исполнении республиканского бюджета Республики Северная Осетия-Алания за 9 месяцев 2024 года"
Номер опубликования: 1500202411010006
Дата опубликования: 01.11.2024
Страница №43 из 54:
Увеличить