Постановление Правительства Республики Северная Осетия - Алания от 01.10.2024 № 436
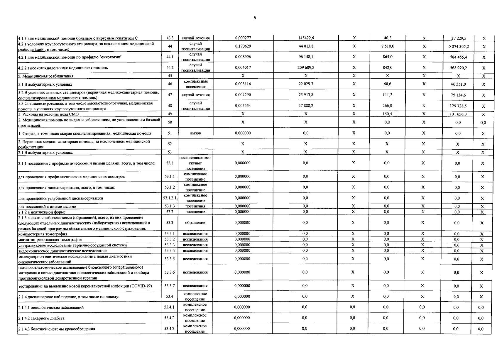
"О внесении изменений в постановление Правительства Республики Северная Осетия-Алания от 19 декабря 2023 г. № 574 "О Территориальной программе государственных гарантий бесплатного оказания гражданам медицинской помощи на территории Республики Северная Осетия-Алания на 2024 год и на плановый период 2025 и 2026 годов"
"О внесении изменений в постановление Правительства Республики Северная Осетия-Алания от 19 декабря 2023 г. № 574 "О Территориальной программе государственных гарантий бесплатного оказания гражданам медицинской помощи на территории Республики Северная Осетия-Алания на 2024 год и на плановый период 2025 и 2026 годов"
Номер опубликования: 1500202410080013
Дата опубликования:
08.10.2024
