Официальное опубликование правовых актов
ОФИЦИАЛЬНОЕ ОПУБЛИКОВАНИЕ
Постановление Правительства Республики Северная Осетия - Алания от 29.08.2024 № 402
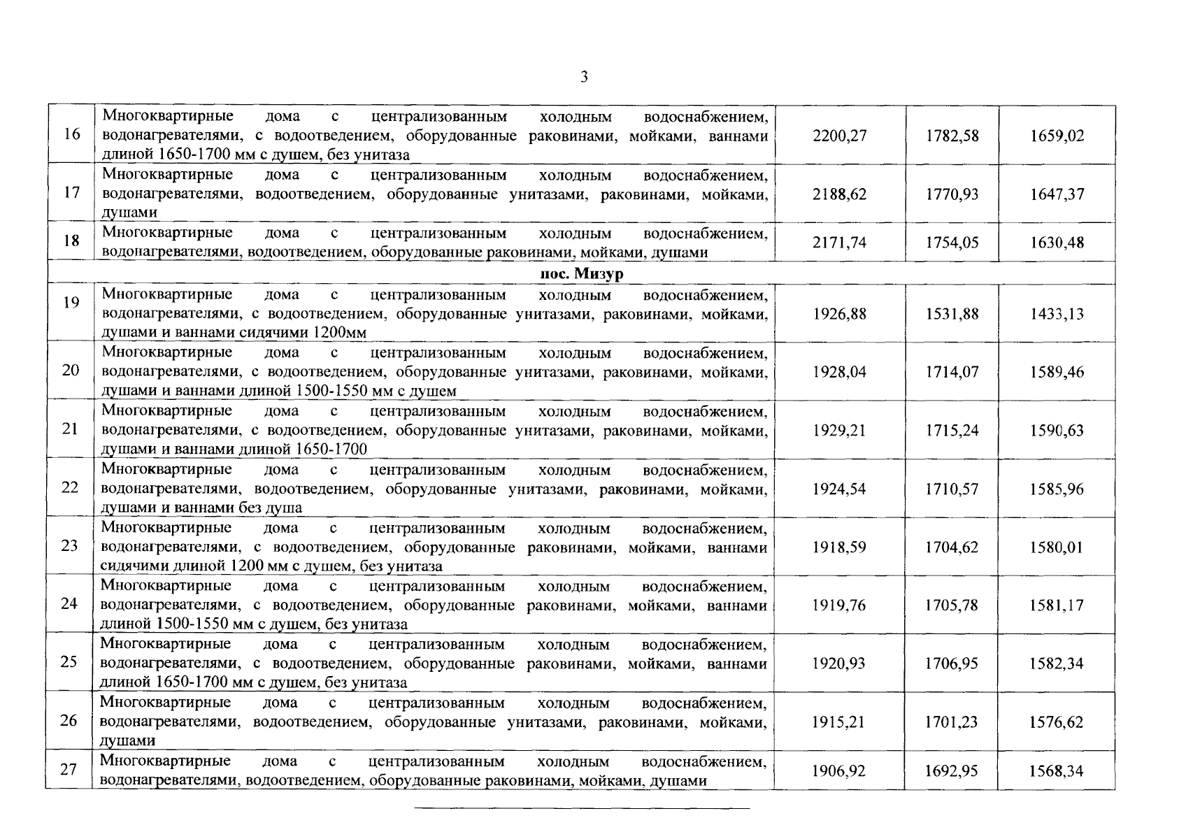
"О внесении изменений в постановление Правительства Республики Северная Осетия-Алания от 11 июня 2024 года № 289 "Об установлении стандартов, применяемых при определении прав граждан на получение субсидий на оплату жилого помещения и коммунальных услуг в Республике Северная Осетия-Алания"
Номер опубликования: 1500202409040005
Дата опубликования: 04.09.2024
Страница №47 из 66:
Увеличить