Официальное опубликование правовых актов
ОФИЦИАЛЬНОЕ ОПУБЛИКОВАНИЕ
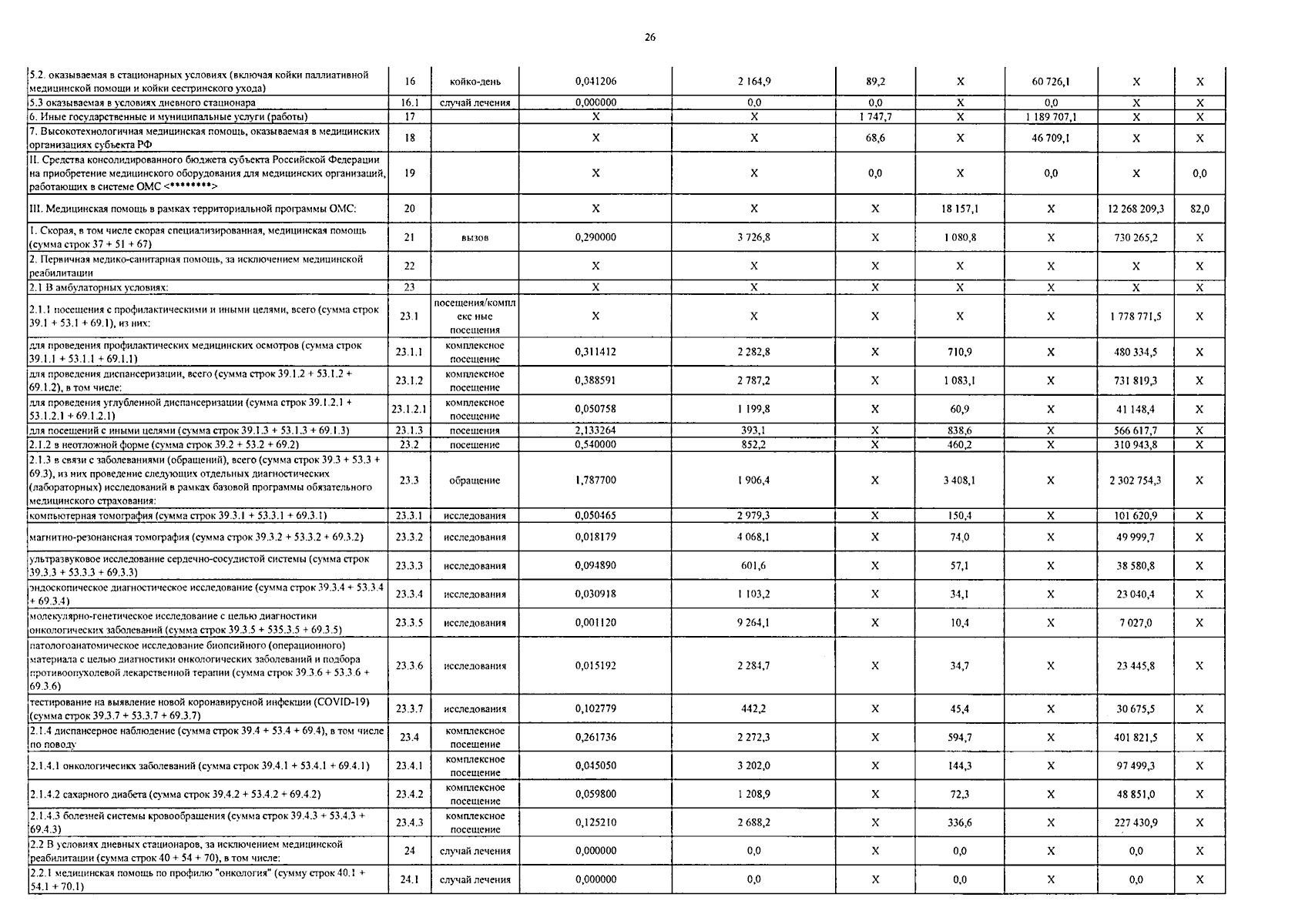
Постановление Правительства Республики Северная Осетия - Алания от 26.03.2024 № 148
"О внесении изменений в постановление Правительства Республики Северная Осетия-Алания от 19 декабря 2023 г. № 574 «О Территориальной программе государственных гарантий бесплатного оказания гражданам медицинской помощи на территории Республики Северная Осетия-Алания на 2024 год и на плановый период 2025 и 2026 годов»"
Номер опубликования: 1500202404010017
Дата опубликования: 01.04.2024
Страница №27 из 44:
Увеличить