Официальное опубликование правовых актов
ОФИЦИАЛЬНОЕ ОПУБЛИКОВАНИЕ
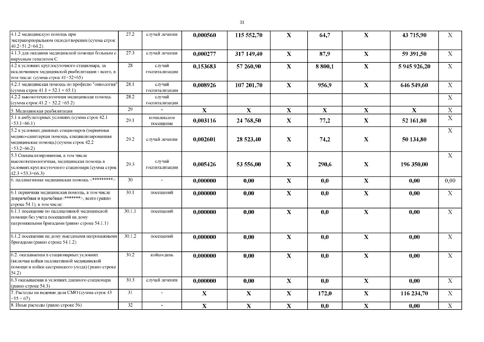
Постановление Правительства Республики Северная Осетия - Алания от 19.12.2023 № 574
"О Территориальной программе государственных гарантий бесплатного оказания гражданам медицинской помощи на территории Республики Северная Осетия-Алания на 2024 год и на плановый период 2025 и 2026 годов"
Номер опубликования: 1500202312250022
Дата опубликования: 25.12.2023
Страница №208 из 246:
Увеличить