Официальное опубликование правовых актов
ОФИЦИАЛЬНОЕ ОПУБЛИКОВАНИЕ
Постановление Правительства Республики Северная Осетия - Алания от 07.11.2023 № 492
"Об утверждении результатов государственной кадастровой оценки зданий, помещений, сооружений, объектов незавершенного строительства, машино-мест, расположенных на территории Республики Северная Осетия-Алания"
Номер опубликования: 1500202311140003
Дата опубликования: 14.11.2023
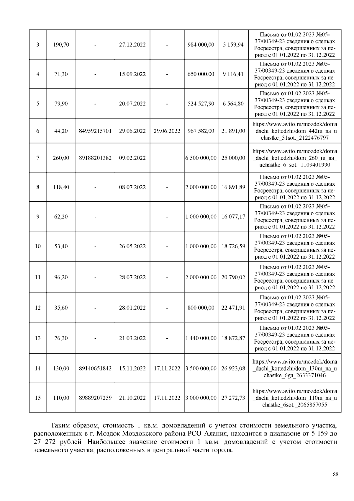
Страница №89 из 6758:
Увеличить