Официальное опубликование правовых актов
ОФИЦИАЛЬНОЕ ОПУБЛИКОВАНИЕ
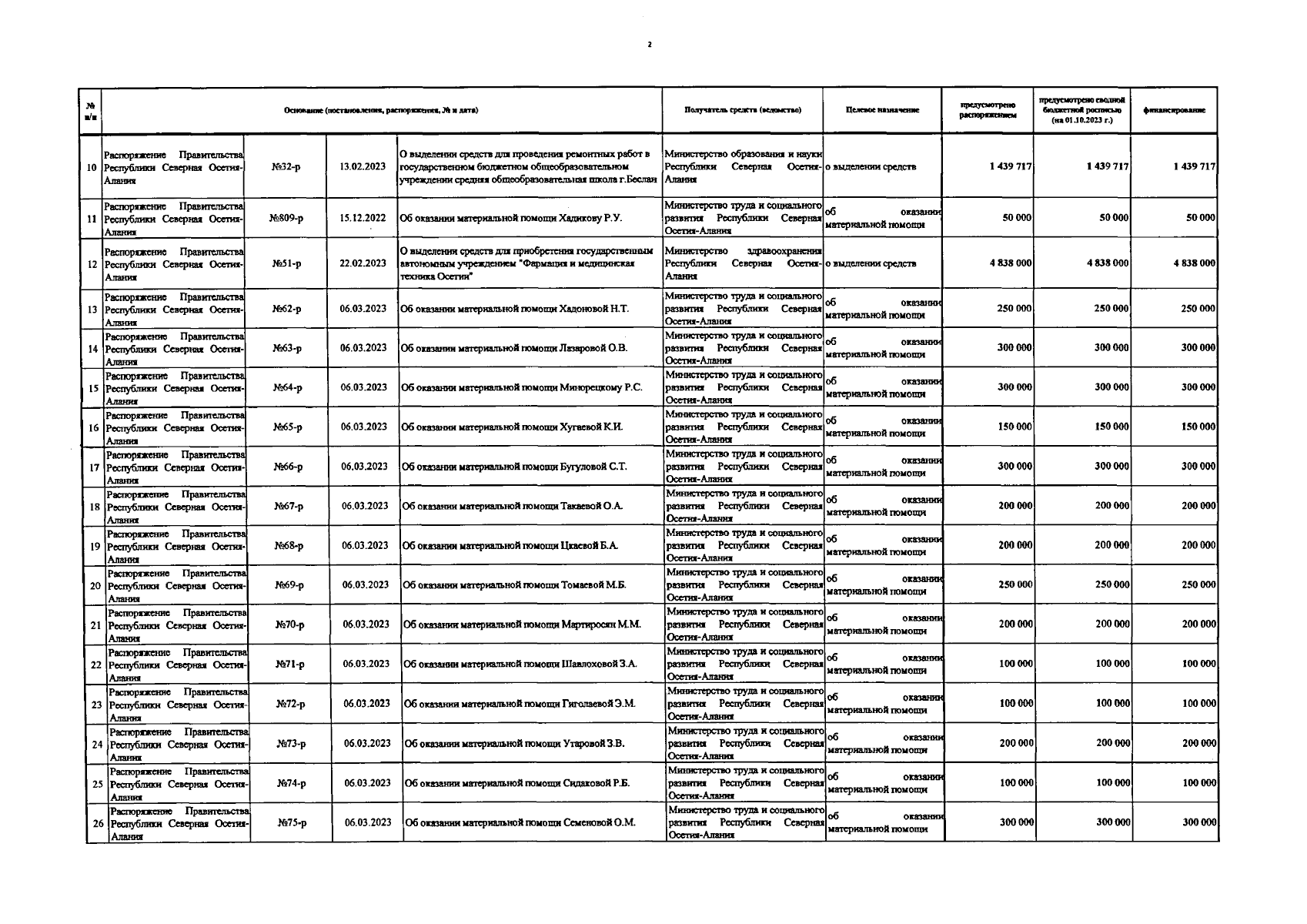
Постановление Правительства Республики Северная Осетия - Алания от 07.11.2023 № 480
"Об отчете об исполнении республиканского бюджета Республики Северная Осетия-Алания за 9 месяцев 2023 года"
Номер опубликования: 1500202311100019
Дата опубликования: 10.11.2023
Страница №35 из 140:
Увеличить