Постановление Правительства Республики Северная Осетия - Алания от 19.09.2023 № 413
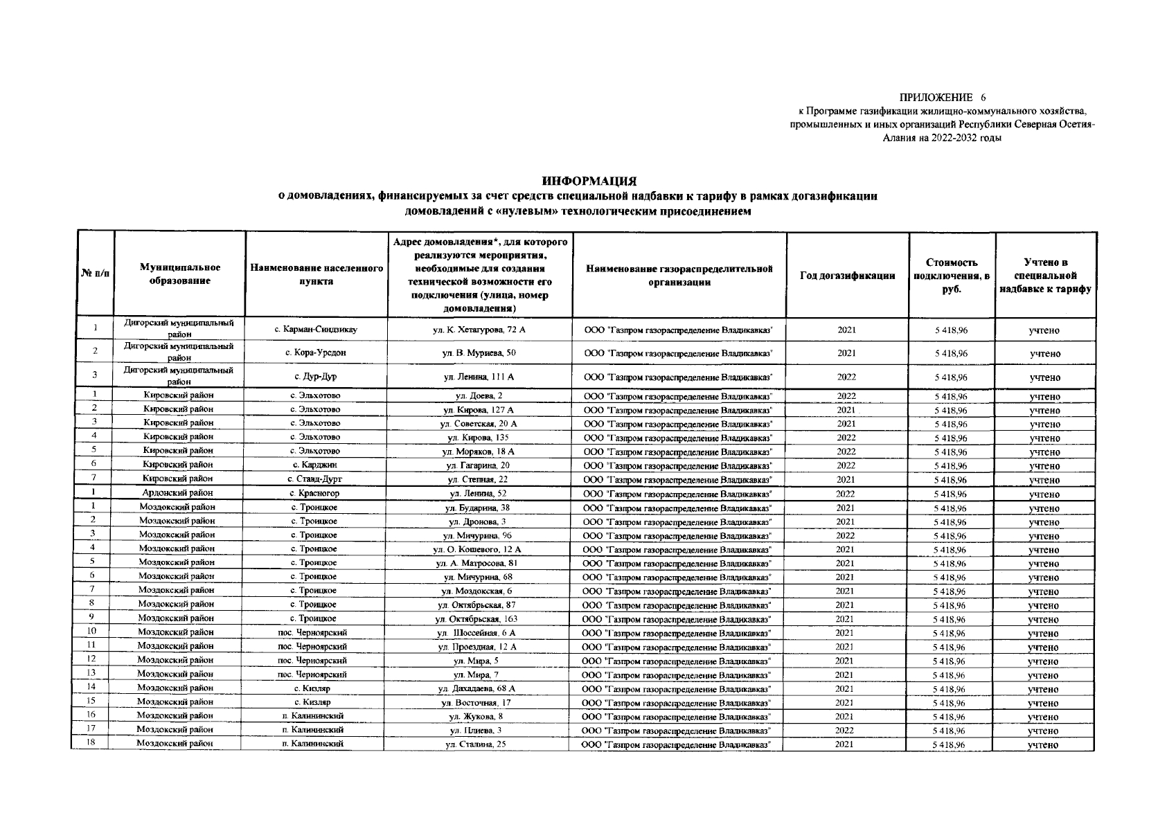
"О внесении изменения в постановление Правительства Республики Северная Осетия - Алания от 1 декабря 2022 года № 523 "Об утверждении программы газификации жилищно-коммунального хозяйства, промышленных и иных организаций Республики Северная Осетия-Алания на 2022-2032 годы"
"О внесении изменения в постановление Правительства Республики Северная Осетия - Алания от 1 декабря 2022 года № 523 "Об утверждении программы газификации жилищно-коммунального хозяйства, промышленных и иных организаций Республики Северная Осетия-Алания на 2022-2032 годы"
Номер опубликования: 1500202309210003
Дата опубликования:
21.09.2023
