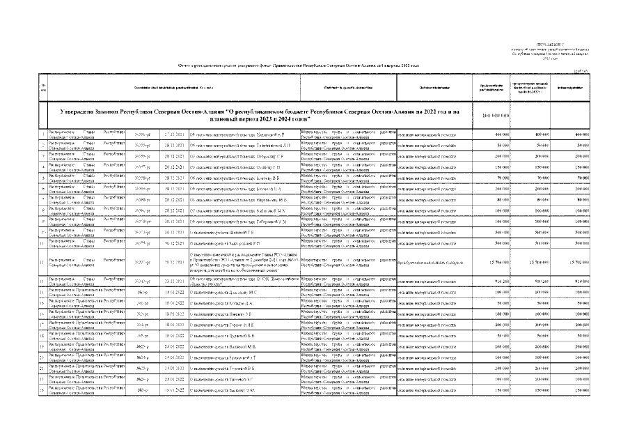
Постановление Правительства Республики Северная Осетия - Алания от 28.04.2022 № 188
"Об отчете об исполнении республиканского бюджета Республики Северная Осетия-Алания за I квартал 2022 года"
"Об отчете об исполнении республиканского бюджета Республики Северная Осетия-Алания за I квартал 2022 года"
Номер опубликования: 1500202205050005
Дата опубликования:
05.05.2022
