Официальное опубликование правовых актов
ОФИЦИАЛЬНОЕ ОПУБЛИКОВАНИЕ
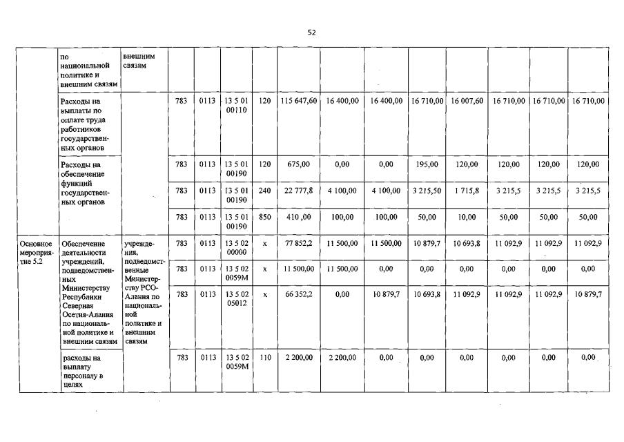
Постановление Правительства Республики Северная Осетия - Алания от 21.01.2022 № 6
"О внесении изменений в постановление Правительства Республики Северная Осетия-Алания от 27 ноября 2018 г. № 375 "О государственной программе Республики Северная Осетия-Алания "Развитие межнациональных отношений в Республике Северная Осетия-Алания" на 2019-2025 годы"
Номер опубликования: 1500202201270002
Дата опубликования: 27.01.2022
Страница №53 из 62:
Увеличить