Официальное опубликование правовых актов
ОФИЦИАЛЬНОЕ ОПУБЛИКОВАНИЕ
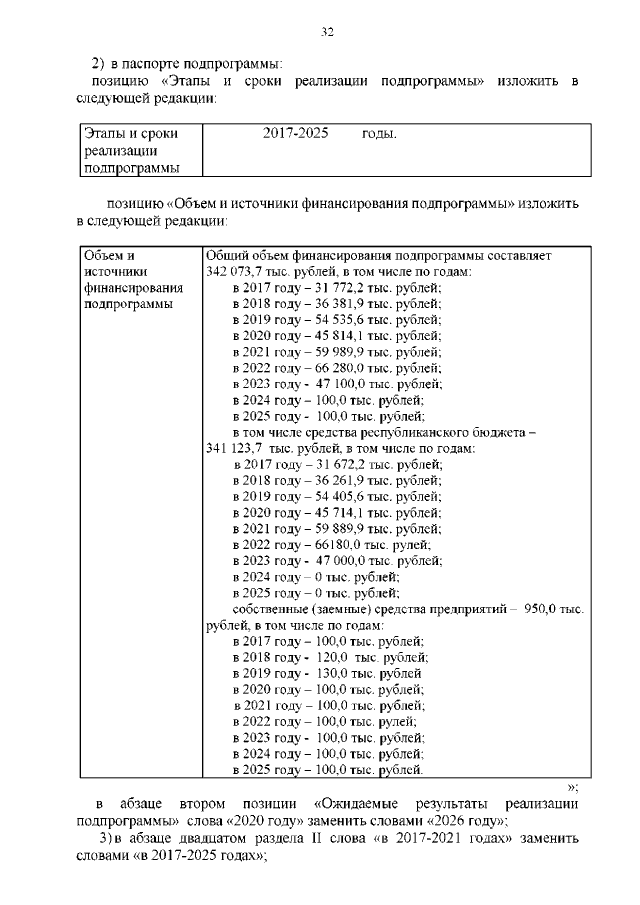
Постановление Правительства Республики Северная Осетия - Алания от 10.11.2021 № 380
"О внесении изменений в некоторые постановления Правительства Республики Северная Осетия-Алания"
Номер опубликования: 1500202111160010
Дата опубликования: 16.11.2021
Страница №33 из 68:
Увеличить