Постановление Правительства Республики Северная Осетия - Алания от 30.07.2021 № 231
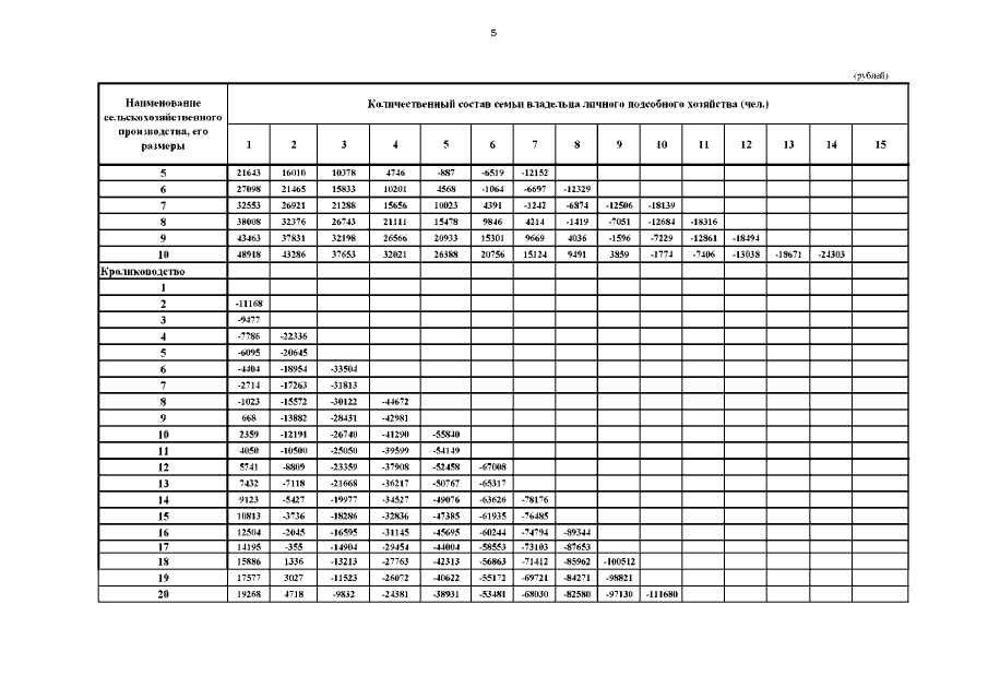
"О годовых нормативах чистого дохода в стоимостном выражении от реализации плодов и продукции, полученных в личном подсобном хозяйстве, в Республике Северная Осетия-Алания на второе полугодие 2021 года"
"О годовых нормативах чистого дохода в стоимостном выражении от реализации плодов и продукции, полученных в личном подсобном хозяйстве, в Республике Северная Осетия-Алания на второе полугодие 2021 года"
Номер опубликования: 1500202108040004
Дата опубликования:
04.08.2021
