Официальное опубликование правовых актов
ОФИЦИАЛЬНОЕ ОПУБЛИКОВАНИЕ
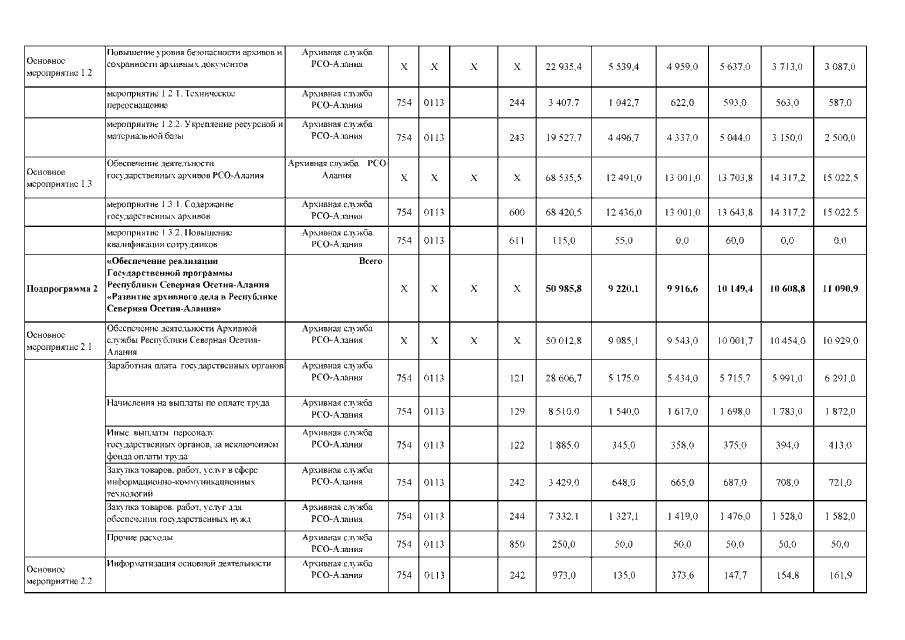
Постановление Правительства Республики Северная Осетия - Алания от 07.08.2018 № 267
"Об утверждении государственной программы Республики Северная Осетия-Алания "Развитие архивного дела в Республике Северная Осетия-Алания" на 2019-2023 годы и внесении изменения в постановление Правительства Республики Северная Осетия-Алания от 1 августа 2017 г. №293 "Об утверждении Перечня государственных программ Республики Северная Осетия-Алания"
Номер опубликования: 1500201808130016
Дата опубликования: 13.08.2018
Страница №31 из 35:
Увеличить