Официальное опубликование правовых актов
ОФИЦИАЛЬНОЕ ОПУБЛИКОВАНИЕ
Постановление Правительства Республики Северная Осетия - Алания от 03.04.2018 № 109
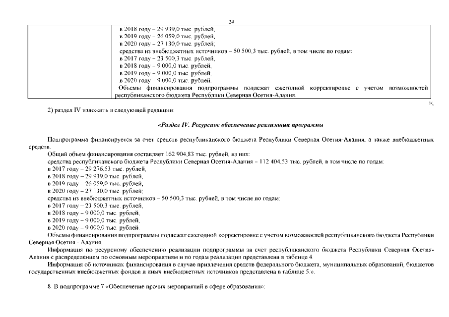
"О внесении изменений в постановление Правительства Республики Северная Осетия-Алания от 26 декабря 2016 года № 476 "О государственной программе Республики Северная Осетия-Алания "Развитие образования Республики Северная Осетия-Алания" на 2017-2020 годы"
Номер опубликования: 1500201804060016
Дата опубликования: 06.04.2018
Страница №25 из 96:
Увеличить