Официальное опубликование правовых актов
ОФИЦИАЛЬНОЕ ОПУБЛИКОВАНИЕ
Постановление Правительства Республики Северная Осетия - Алания от 21.11.2017 № 420
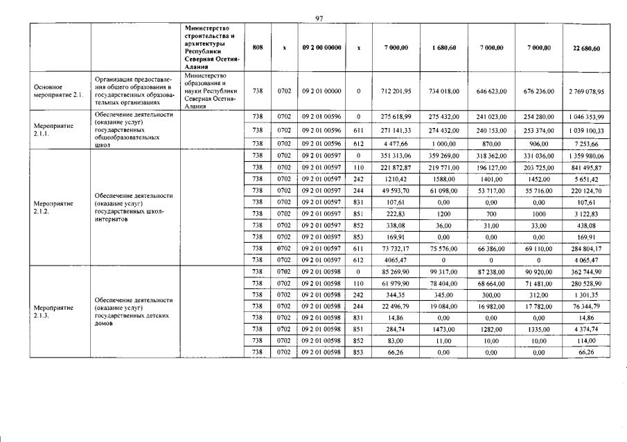
"О внесении изменений в постановление Правительства Республики Северная Осетия-Алания от 26 декабря 2016 года № 476 "О государственной программе Республики Северная Осетия-Алания "Развитие образования Республики Северная Осетия-Алания" на 2017-2020 годы"
Номер опубликования: 1500201711280001
Дата опубликования: 28.11.2017
Страница №98 из 128:
Увеличить